Open Access

Fig. 7.

image

Download original image

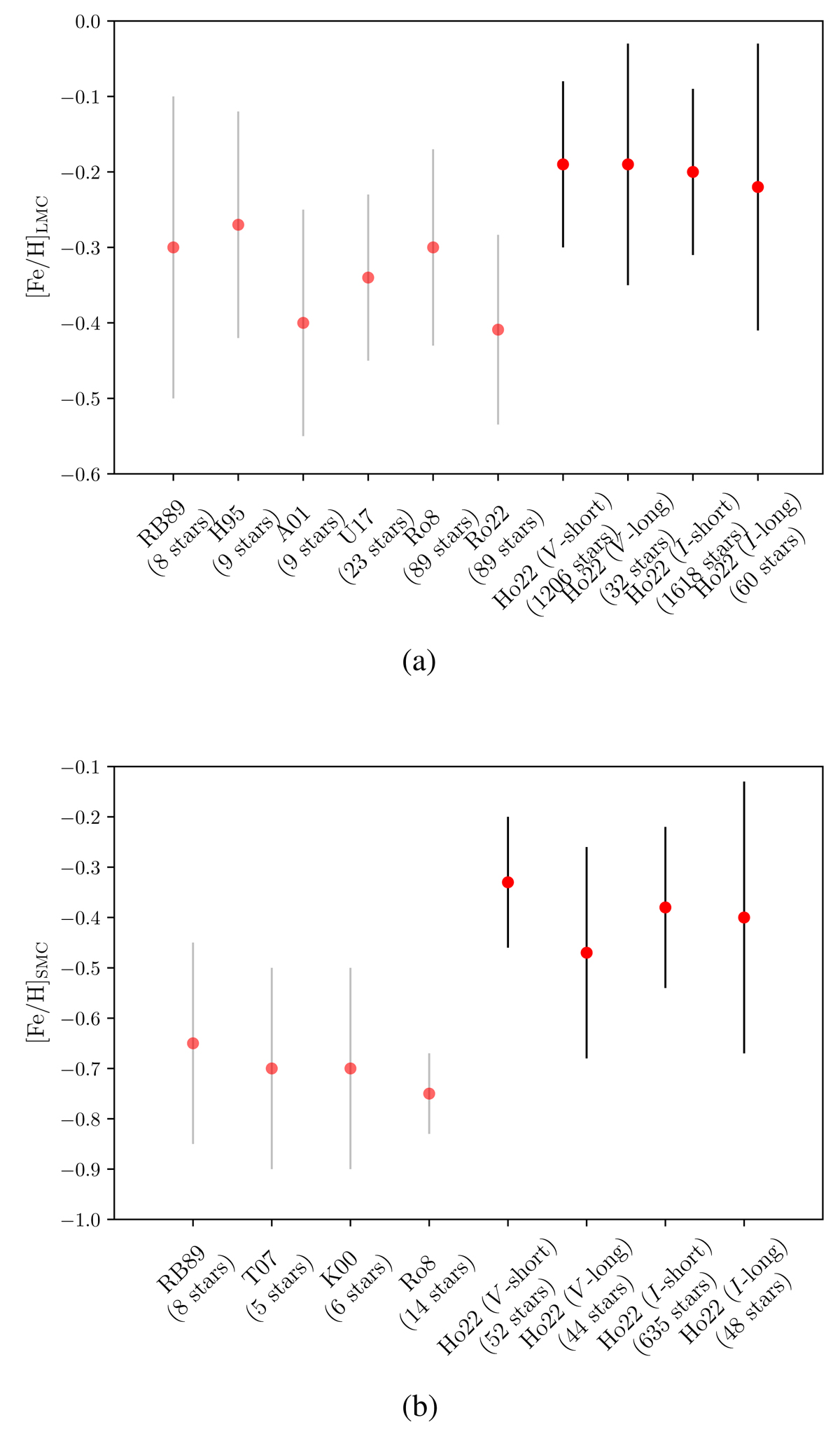
Comparison of mean [Fe/H] derived from the literature (grey bars) and from [Fe/H] estimations presented in this paper (black bars). For each reference, the number of stars used to derive the mean is indicated. LMC metallicity from Romaniello et al. (2022) is presented taking account systematics. For details, see Sect. 4.3 for short-period Cepheids in the V band, Sect. 5.2 for long-period Cepheids in the V band, and Sect. 6.2 for the I-band relation. (a) LMC. (b) SMC.

Current usage metrics show cumulative count of Article Views (full-text article views including HTML views, PDF and ePub downloads, according to the available data) and Abstracts Views on Vision4Press platform.

Data correspond to usage on the plateform after 2015. The current usage metrics is available 48-96 hours after online publication and is updated daily on week days.

Initial download of the metrics may take a while.