Open Access

Fig. 1

image

Download original image

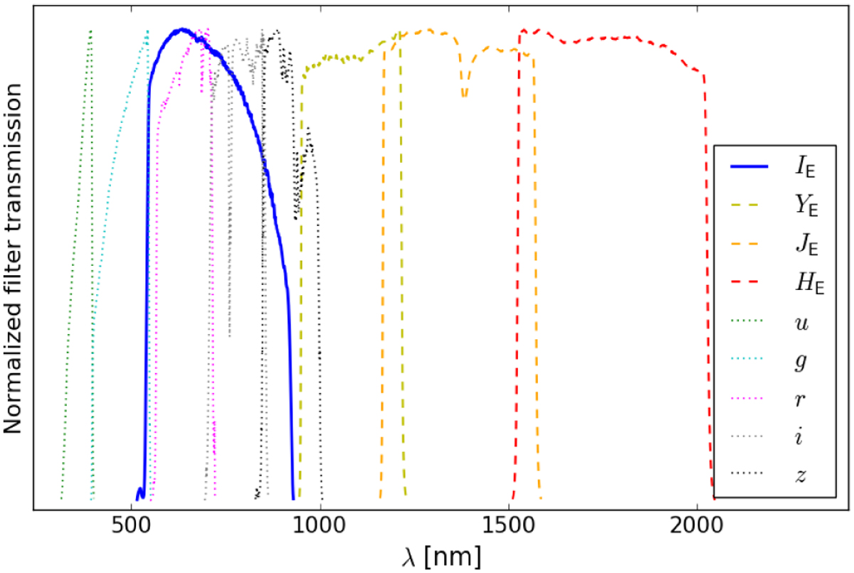
Filter transmission curves used to simulate the images (normalised to arbitrary units) in this work. The four filters IE, YE, JE, and HE form the Euclid set, while u, g, r, i, and z are external complementary filters (from LSST/VRO). The NIR curves are early estimates of the actual transmission functions, which are described in their latest updated version in Euclid Collaboration (2022c); however, since we only use these data to compute the input fluxes, the differences are not relevant for the present work.

Current usage metrics show cumulative count of Article Views (full-text article views including HTML views, PDF and ePub downloads, according to the available data) and Abstracts Views on Vision4Press platform.

Data correspond to usage on the plateform after 2015. The current usage metrics is available 48-96 hours after online publication and is updated daily on week days.

Initial download of the metrics may take a while.