Open Access

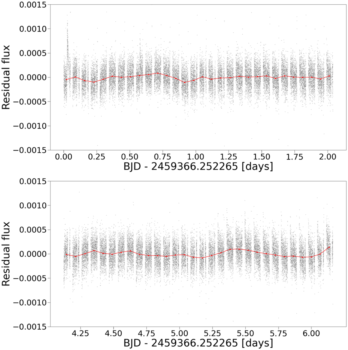
Fig. 2

image

Download original image

Residual light curves of the first (upper panel) and second (lower panel) visit to DE Boo after the subtraction of a fourth-order polynomial from the spot-model-subtracted data. Red dots show the orbital average flux for each orbit of CHEOPS. Red curves emphasise the change in the brightness of the target.

Current usage metrics show cumulative count of Article Views (full-text article views including HTML views, PDF and ePub downloads, according to the available data) and Abstracts Views on Vision4Press platform.

Data correspond to usage on the plateform after 2015. The current usage metrics is available 48-96 hours after online publication and is updated daily on week days.

Initial download of the metrics may take a while.