Open Access

Fig. 2

image

Download original image

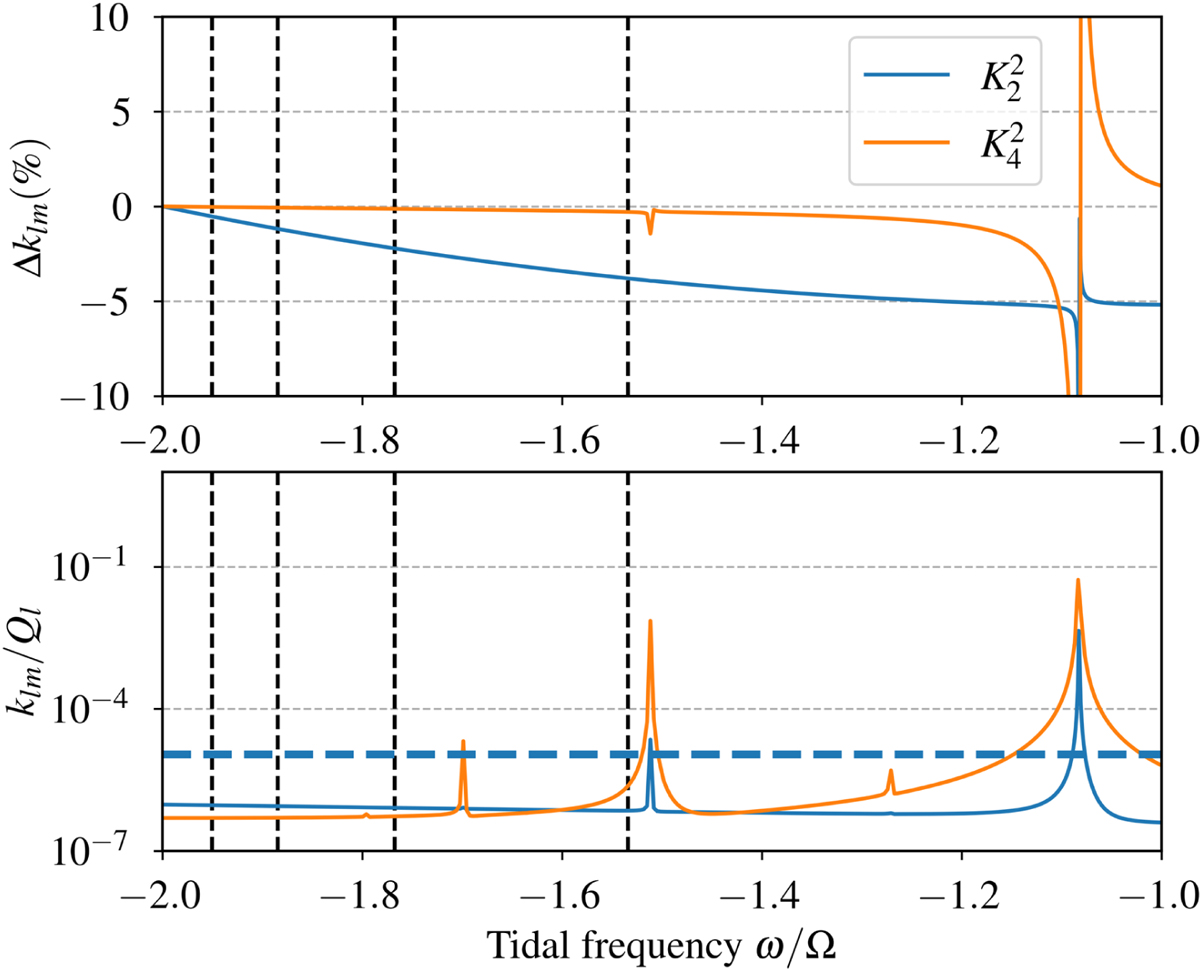
Complex Love number as a function of the tidal frequency for a full isentropic polytrope of index 1. Top panel: fractional correction ∆klm of the real part of the Love numbers. The fractional correction ∆k42 (orange curve in the top panel) was multiplied by 0.07. Bottom panel: minus imaginary part , which is equivalent to klm/Ql. Vertical dashed lines indicate tidal frequencies of four Galilean moons of Jupiter (from right to left: Io, Europa, Ganymede, and Callisto). The horizontal dashed line in the bottom panel represents the astrometric observation of the frequency independent k2/Q2 from Lainey et al. (2009).

Current usage metrics show cumulative count of Article Views (full-text article views including HTML views, PDF and ePub downloads, according to the available data) and Abstracts Views on Vision4Press platform.

Data correspond to usage on the plateform after 2015. The current usage metrics is available 48-96 hours after online publication and is updated daily on week days.

Initial download of the metrics may take a while.