Open Access

Fig. 8

image

Download original image

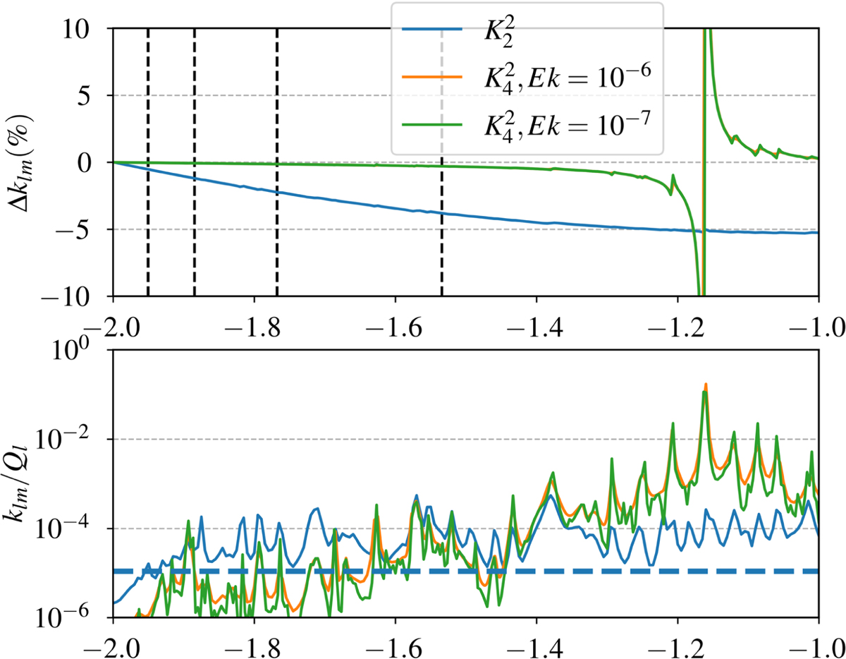
As for Fig. 2, but for the interior model with a small rigid core and a top stably stratified layer. Green lines represent results at the Ekman number Ek = 10−7. The fractional correction ∆k42 (orange and green curves in the top panel) was multiplied by 0.07.

Current usage metrics show cumulative count of Article Views (full-text article views including HTML views, PDF and ePub downloads, according to the available data) and Abstracts Views on Vision4Press platform.

Data correspond to usage on the plateform after 2015. The current usage metrics is available 48-96 hours after online publication and is updated daily on week days.

Initial download of the metrics may take a while.