Open Access

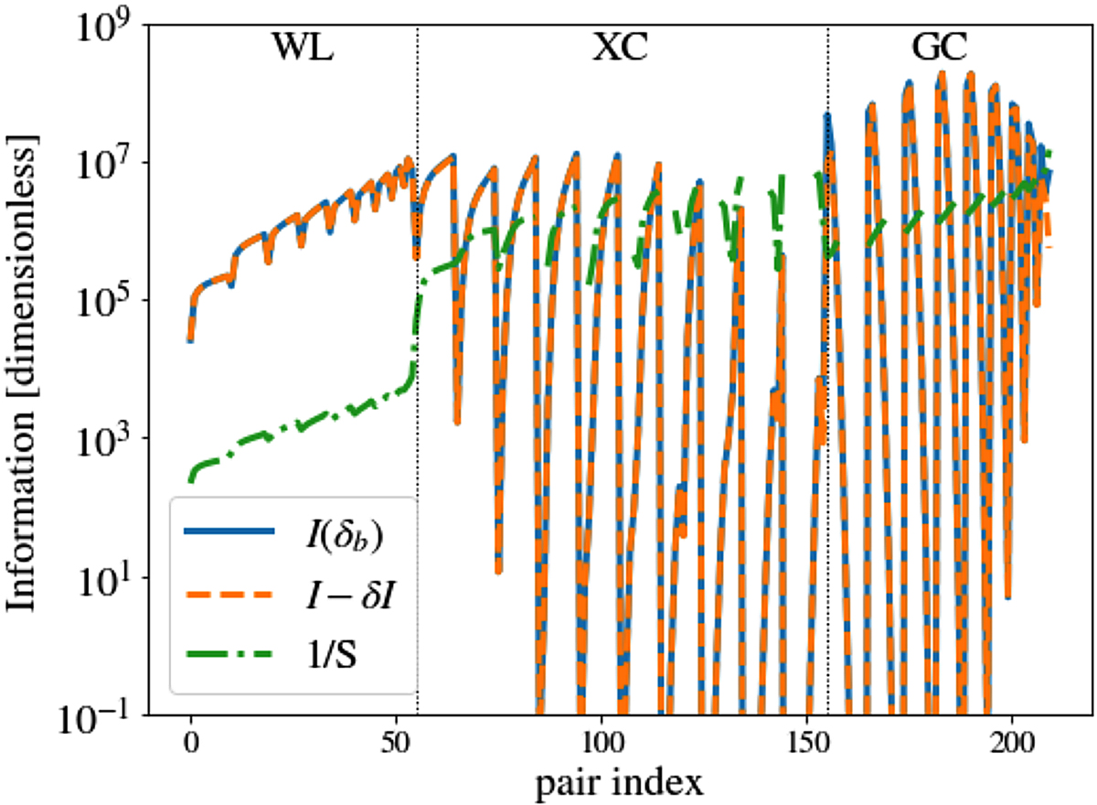
Fig. 2.

image

Download original image

Information on δb in each redshift bin pair in a tomographic 3×2pt analysis (WL + GC + XC). There are 210 pairs: 55 for WL, 100 for XC, and 55 for GC. The pairs are ordered as in Fig. 1. The only difference is that XC has more pairs because there is no symmetry (i, j)↔(j, i).

Current usage metrics show cumulative count of Article Views (full-text article views including HTML views, PDF and ePub downloads, according to the available data) and Abstracts Views on Vision4Press platform.

Data correspond to usage on the plateform after 2015. The current usage metrics is available 48-96 hours after online publication and is updated daily on week days.

Initial download of the metrics may take a while.