Open Access

Fig. 2.

image

Download original image

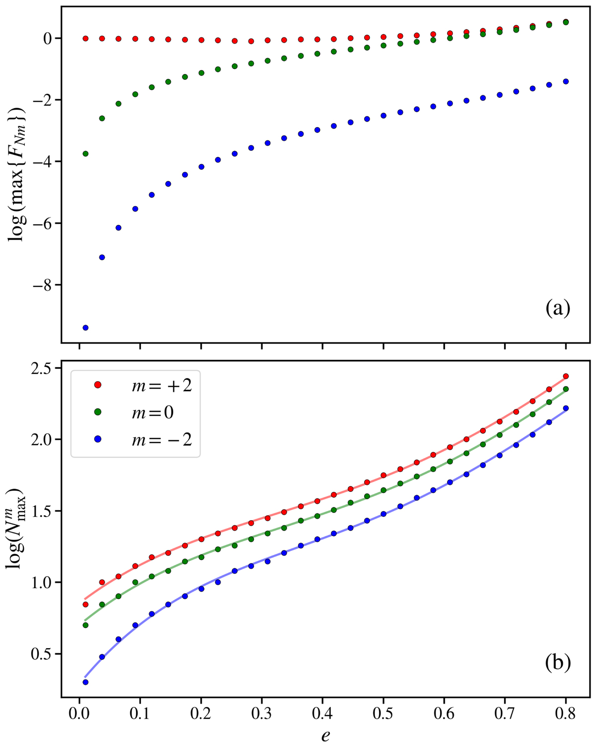
Properties of the distributions of Hansen coefficients. (a) Maximum values of the Hansen coefficients, FNm, versus eccentricity for l = 2 modes and three different azimuthal orders, m = −2, 0, +2, denoted by blue, green, and red points, respectively. We note the marginal contribution of the m = −2 modes. (b) Dependence of on eccentricity with the same colour-coding as in panel a. The solid coloured lines represent the best fits of the fourth-degree polynomials, which we used to determine frequency ranges in the asteroseismic calculations.

Current usage metrics show cumulative count of Article Views (full-text article views including HTML views, PDF and ePub downloads, according to the available data) and Abstracts Views on Vision4Press platform.

Data correspond to usage on the plateform after 2015. The current usage metrics is available 48-96 hours after online publication and is updated daily on week days.

Initial download of the metrics may take a while.