Open Access

Fig. 2.

image

Download original image

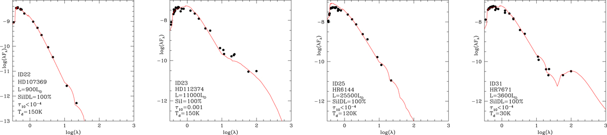
Optical and IR data (black points) of oxygen-rich Galactic sources classified as post-AGB stars presented in Kamath et al. (2022), which we interpret as “dust-free” in the present investigation. This is due to the little if not null infrared excess that characterizes these sources.

Current usage metrics show cumulative count of Article Views (full-text article views including HTML views, PDF and ePub downloads, according to the available data) and Abstracts Views on Vision4Press platform.

Data correspond to usage on the plateform after 2015. The current usage metrics is available 48-96 hours after online publication and is updated daily on week days.

Initial download of the metrics may take a while.