Open Access

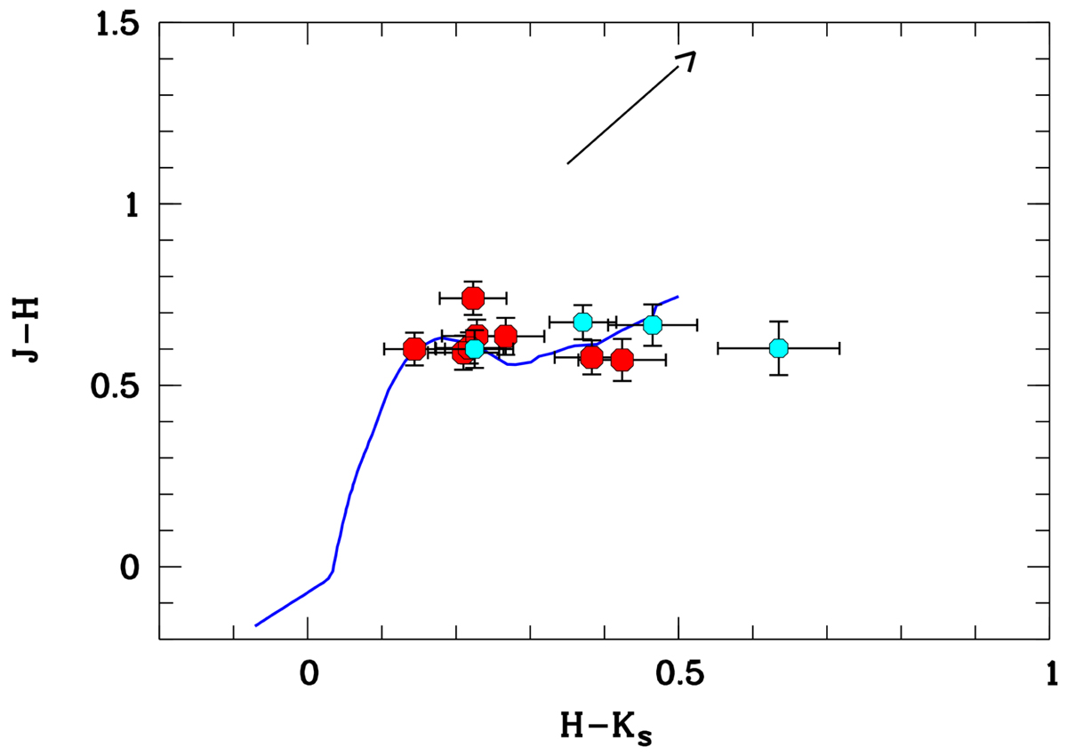
Fig. 2.

image

Download original image

J − H (mag) versus H − Ks (mag) diagram of all our targets. The red dots show the chromospherically dominant targets, the cyan dots are the accretors, and the blue line represents the colors of MS objects down to spectral type M9.5. The normal reddening vector, shown with the black arrow, corresponds to AV = 2 mag. The rightmost target is 2MASS J15361110-3444473 which is suspected to be a binary; hence, it might have color contribution from a second target.

Current usage metrics show cumulative count of Article Views (full-text article views including HTML views, PDF and ePub downloads, according to the available data) and Abstracts Views on Vision4Press platform.

Data correspond to usage on the plateform after 2015. The current usage metrics is available 48-96 hours after online publication and is updated daily on week days.

Initial download of the metrics may take a while.