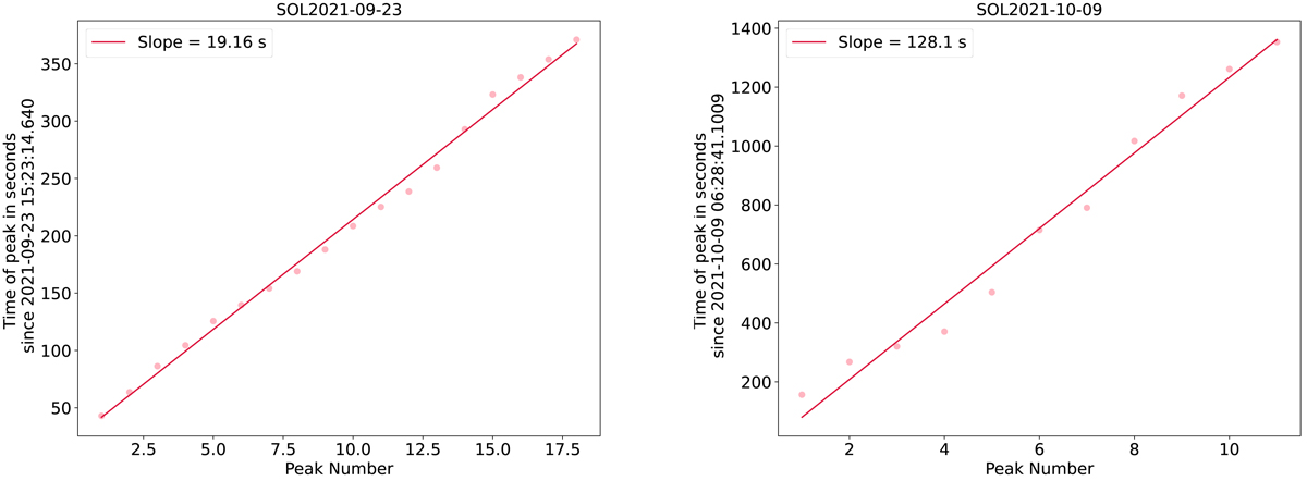
Fig. 8.

image

Download original image

Time of each peak from the Gaussian decomposition against peak number for the SOL2021-09-23 and SOL2021-10-09 flare shown in Figs. 2 and 3, respectively. The fit gives an estimate of periodicity in the SOL2021-09-23 non-thermal HXR flare signal of ∼19 s. For the SOL2021-10-09 flare, a periodicity of ∼128 s is derived.

Current usage metrics show cumulative count of Article Views (full-text article views including HTML views, PDF and ePub downloads, according to the available data) and Abstracts Views on Vision4Press platform.

Data correspond to usage on the plateform after 2015. The current usage metrics is available 48-96 hours after online publication and is updated daily on week days.

Initial download of the metrics may take a while.