Open Access

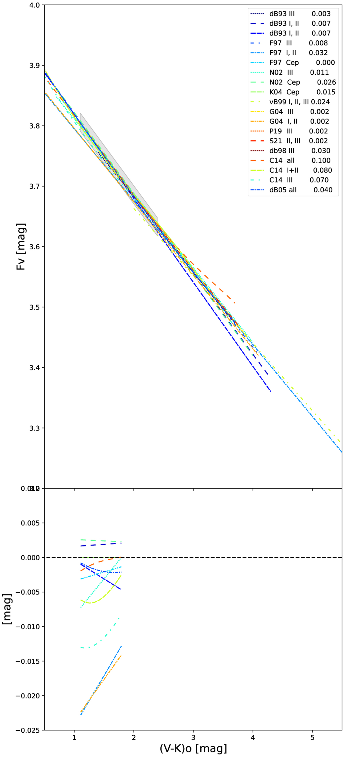
Fig. 6

image

Download original image

SBCRs in the literature that are consistent with an application to Cepheids. Top: SBCR in the literature plotted over the (VK)0 validity domain. The gray zone correspond to the rms of K04 SBCR, i.e., 0.015 mag. The rms of other SBCRs (in mag) is indicated in the legend. Bottom: SBCRs compared to K04 in the (VK)0 range corresponding to η Aql pulsation. SBCRs that are partly or not at all consistent with the (VK)0 range of η Aql (see Table 5) are not indicated in this second panel.

Current usage metrics show cumulative count of Article Views (full-text article views including HTML views, PDF and ePub downloads, according to the available data) and Abstracts Views on Vision4Press platform.

Data correspond to usage on the plateform after 2015. The current usage metrics is available 48-96 hours after online publication and is updated daily on week days.

Initial download of the metrics may take a while.