Open Access

Fig. 2.

image

Download original image

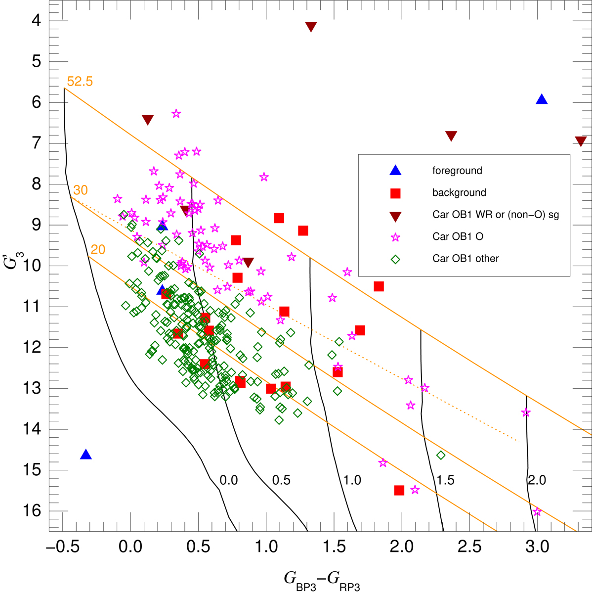
Gaia EDR3 CMD for the stars of our census. First panel (see the following page for the second one): Gaia EDR3 CMD for the stars with spectral types in this paper. Different symbols and colors are used to represent stars with parallaxes compatible with being (or otherwise assumed to be) in the foreground (4), in the background (18), or in Car OB1 (294). Of the Car OB1 stars, 6 are of Wolf-Rayet or nonO supergiant (II to Ia) spectral class, 74 are of O type, and 214 are of nonsupergiant B type. Four of the Preibisch et al. (2021) stars are outside the frame towards the lower right due to their high extinction. Black lines show the average main sequence at a distance of 2.35 kpc with no extinction and with values of E(4405 − 5495) of 0.5, 1.0, 1.5, and 2.0 (labeled) using the extinction law of Maíz Apellániz et al. (2014) with a value of R5495 of 4.5, which is typical of the region but with a large dispersion (Maíz Apellániz & Barbá 2018). Solid orange lines show the R5495 = 4.5 extinction tracks for average MS stars of Teff of 52.5 kK, 30 kK, and 20 kK (labeled), respectively. The dotted orange line shows the R5495 = 3.0 extinction track for Teff = 30 kK.

Current usage metrics show cumulative count of Article Views (full-text article views including HTML views, PDF and ePub downloads, according to the available data) and Abstracts Views on Vision4Press platform.

Data correspond to usage on the plateform after 2015. The current usage metrics is available 48-96 hours after online publication and is updated daily on week days.

Initial download of the metrics may take a while.