Open Access

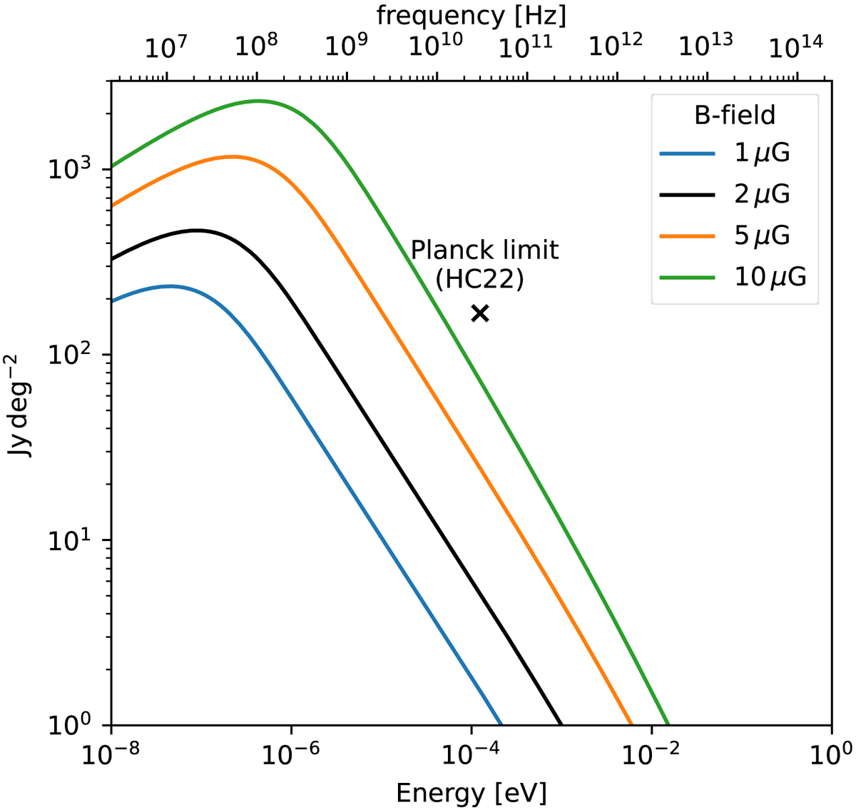
Fig. 7.

image

Download original image

Predictions for the synchrotron brightness for an emission region magnetic field B = 1 − 10 μG. The 2 μG model (black) uses the same set of parameters as the dotted blue model in Fig. 4 and was used to set the normalisation for all models. For reference, the source covers ∼1 deg2.

Current usage metrics show cumulative count of Article Views (full-text article views including HTML views, PDF and ePub downloads, according to the available data) and Abstracts Views on Vision4Press platform.

Data correspond to usage on the plateform after 2015. The current usage metrics is available 48-96 hours after online publication and is updated daily on week days.

Initial download of the metrics may take a while.