Open Access

Fig. 3.

image

Download original image

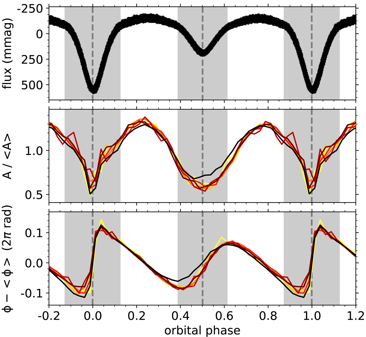
Relative tidal perturbation of all selected (k, m) = (0, 1) g modes of KIC 3228863. Top: phase-folded Kepler light curve of KIC 3228863 (black). The eclipses are marked in grey, with the dashed lines indicating the centres of the eclipses. Middle: pulsation amplitude modulations as a function of the binary orbital phase, calculated numerically within separate orbital phase bins and divided by the average intrinsic mode amplitudes. Different line colours scale with the average intrinsic mode amplitudes, from high (black) to low (yellow). The binary eclipses are marked in grey. Bottom: differential pulsation phase modulations as a function of the binary orbital phase, calculated numerically from binned data, with ⟨ϕ⟩ indicating the average intrinsic mode phase.

Current usage metrics show cumulative count of Article Views (full-text article views including HTML views, PDF and ePub downloads, according to the available data) and Abstracts Views on Vision4Press platform.

Data correspond to usage on the plateform after 2015. The current usage metrics is available 48-96 hours after online publication and is updated daily on week days.

Initial download of the metrics may take a while.