Open Access

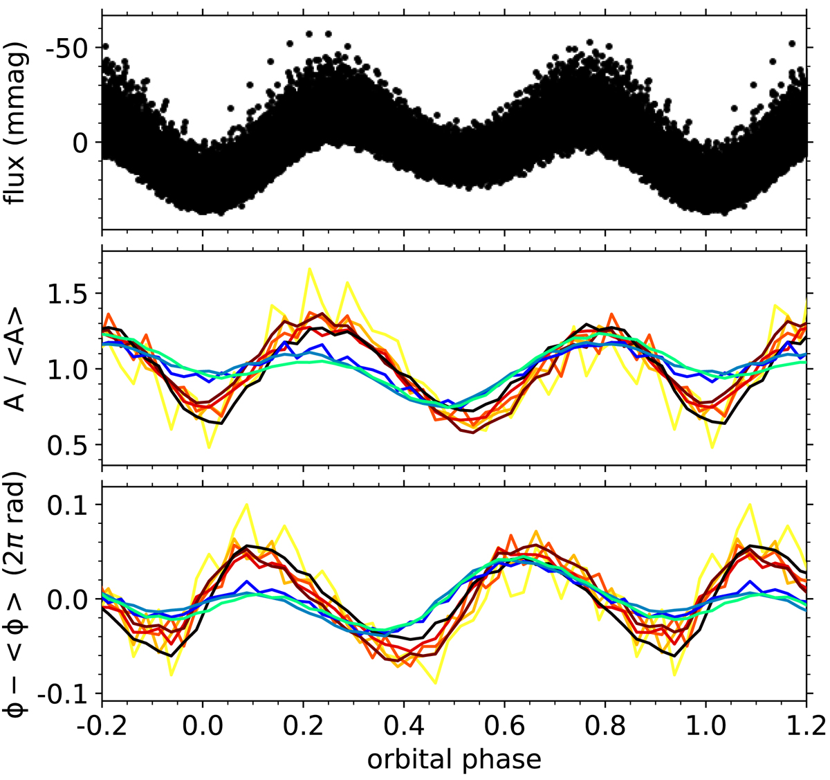
Fig. 4.

image

Download original image

Relative tidal perturbation of all selected g and r modes of KIC 3341457. Top: phase-folded Kepler light curve of KIC 3341457 (black). Middle: relative pulsation amplitude modulations as a function of the binary orbital phase, similar to the middle panel of Fig. 3. Modulations shown using the black-red-yellow colour scale correspond to (k, m) = (0, 1) g modes. The blue-green colour scale is used for modulations of (k, m) = (−2, −1) r modes. Bottom: differential pulsation phase modulations as a function of the binary orbital phase, similar to the bottom panel of Fig. 3.

Current usage metrics show cumulative count of Article Views (full-text article views including HTML views, PDF and ePub downloads, according to the available data) and Abstracts Views on Vision4Press platform.

Data correspond to usage on the plateform after 2015. The current usage metrics is available 48-96 hours after online publication and is updated daily on week days.

Initial download of the metrics may take a while.