Open Access

Fig. 4

image

Download original image

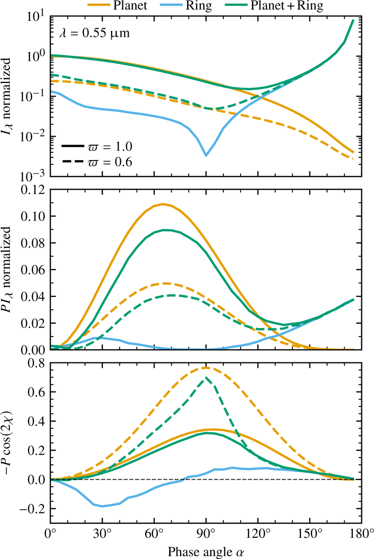
Total reflected flux, Iλ (top), polarized flux, PIλ (middle), and degree of polarization, P (bottom), as a function of the planetary phase angle, α, of a planet, a circumplanetary ring, and the combination of the two. The fluxes are normalized to the total reflected flux of a ring-less planet at a phase angle of 0° at a wavelength of 0.55 μm. The line styles correspond to different single scattering albedos, ϖ, of the gaseous particles (except for the ring model). For a single scattering albedo of 1.0 and 0.6, the planet has a geometric albedo of about 0.72 and 0.17, respectively. See Sect. 4.1 for details.

Current usage metrics show cumulative count of Article Views (full-text article views including HTML views, PDF and ePub downloads, according to the available data) and Abstracts Views on Vision4Press platform.

Data correspond to usage on the plateform after 2015. The current usage metrics is available 48-96 hours after online publication and is updated daily on week days.

Initial download of the metrics may take a while.