Open Access

Fig. 5

image

Download original image

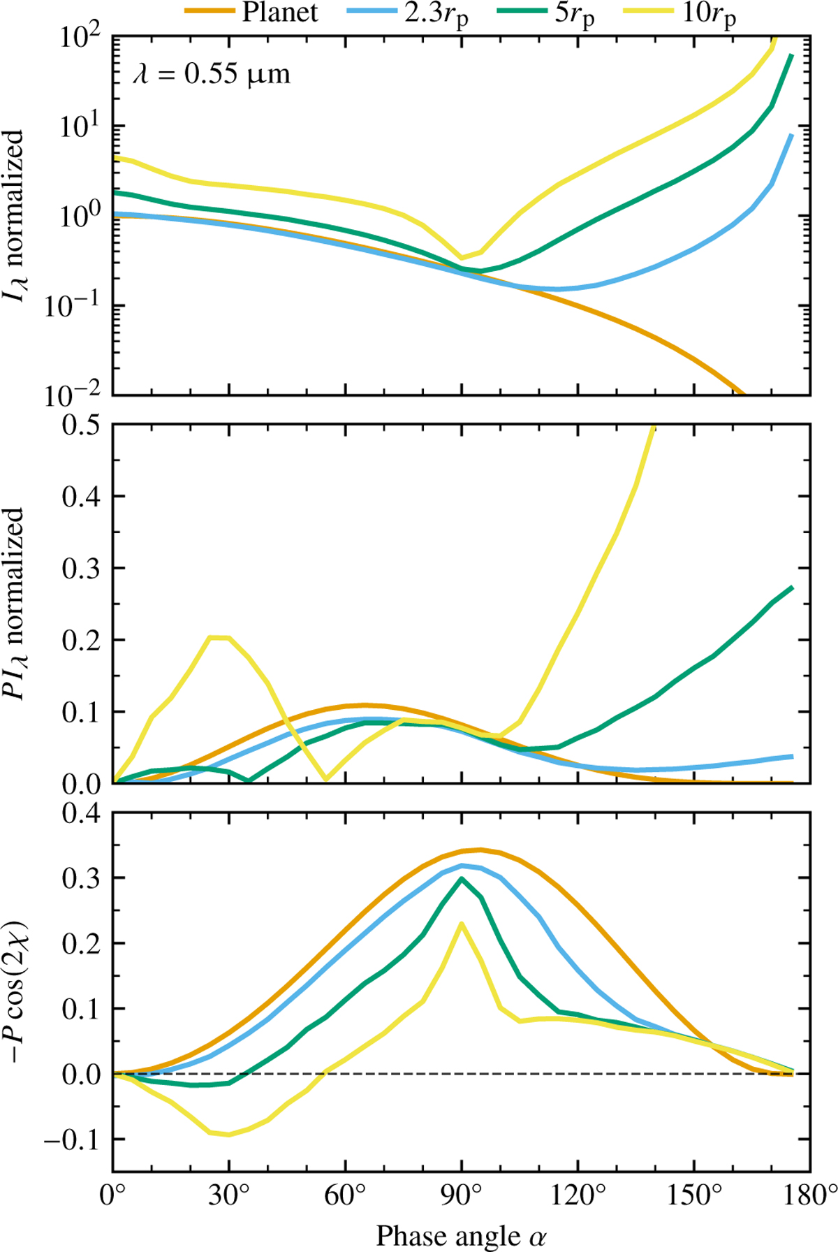
Total reflected flux, Iλ (top), polarized flux, PIλ (middle), and degree of polarization, P (bottom), as a function of the planetary phase angle, α, of a circumplanetary ring with different outer radii. For comparison, the flux of a planet without a ring is also shown. The fluxes are normalized to the total reflected flux of a ringless planet at a phase angle of 0° at a wavelength of 0.55 μm. See Sect. 4.2 for details.

Current usage metrics show cumulative count of Article Views (full-text article views including HTML views, PDF and ePub downloads, according to the available data) and Abstracts Views on Vision4Press platform.

Data correspond to usage on the plateform after 2015. The current usage metrics is available 48-96 hours after online publication and is updated daily on week days.

Initial download of the metrics may take a while.