Open Access

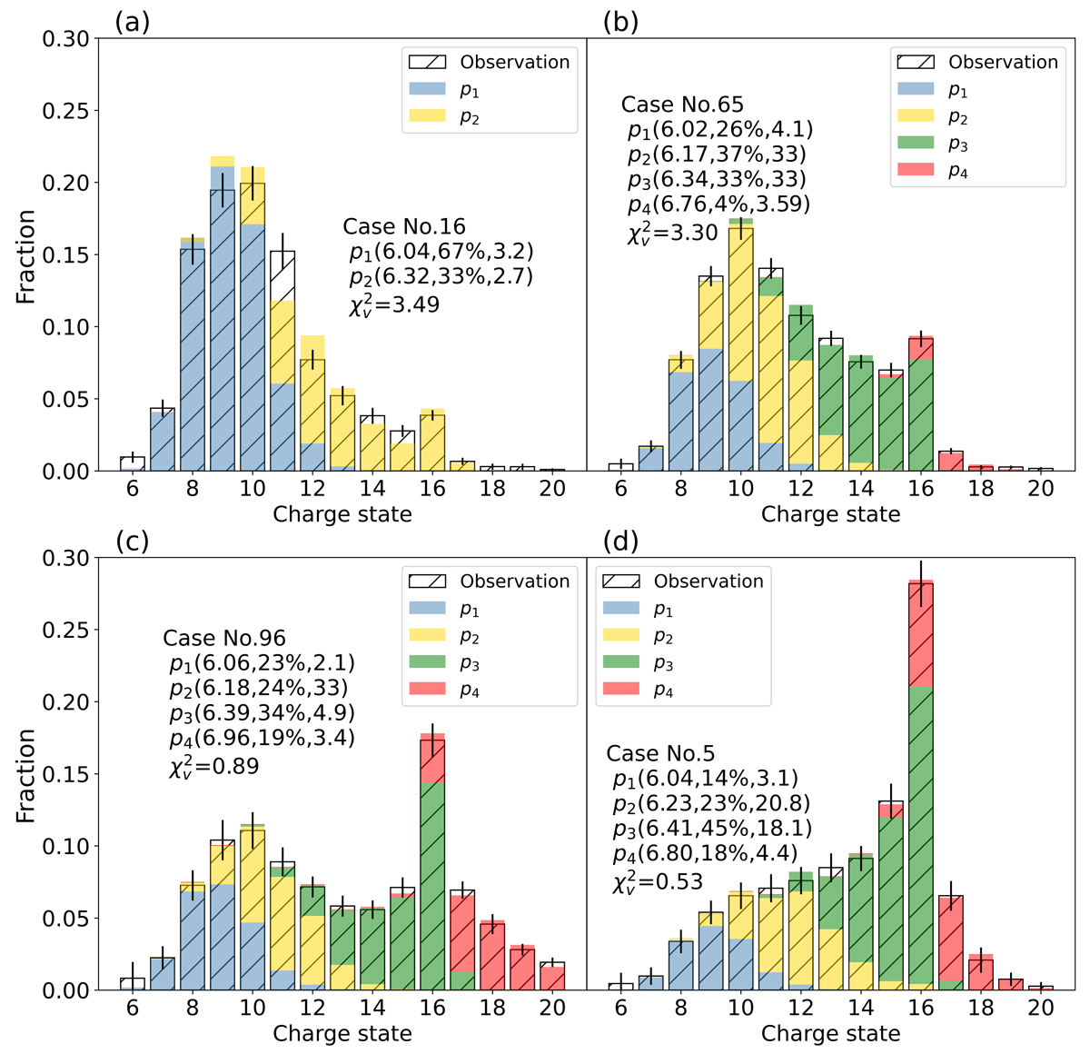
Fig. 1.

image

Download original image

Measured and modeled charge-state distributions of iron ions of four selected ICMEs. The case numbers of the four ICMEs are marked in each subplot and detailed parameters of populations are given in the form of pn(T, Arel, κ). All distributions are normalized to their respective sum and the error bars indicate the observational uncertainty.

Current usage metrics show cumulative count of Article Views (full-text article views including HTML views, PDF and ePub downloads, according to the available data) and Abstracts Views on Vision4Press platform.

Data correspond to usage on the plateform after 2015. The current usage metrics is available 48-96 hours after online publication and is updated daily on week days.

Initial download of the metrics may take a while.