Open Access

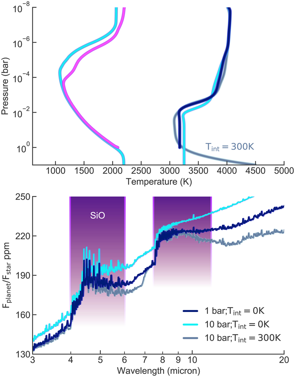
Fig. 9

image

Download original image

Temperature-pressure profiles and emission spectra of varied atmospheric pressure and internal heating. The top panel contains profiles of atmospheres with 1 and 10 bar at two different orbital distances (0.01 and 0.04 AU). For the close orbit, an additional case with Tint = 300 K is shown. The lower panel shows the resulting emission spectrum of the close orbit cases. The chosen wavelength region is where SiO features are expected to appear. Spectra are shown at a resolution of λ/∆λ = 600.

Current usage metrics show cumulative count of Article Views (full-text article views including HTML views, PDF and ePub downloads, according to the available data) and Abstracts Views on Vision4Press platform.

Data correspond to usage on the plateform after 2015. The current usage metrics is available 48-96 hours after online publication and is updated daily on week days.

Initial download of the metrics may take a while.