Open Access

Fig. 8

image

Download original image

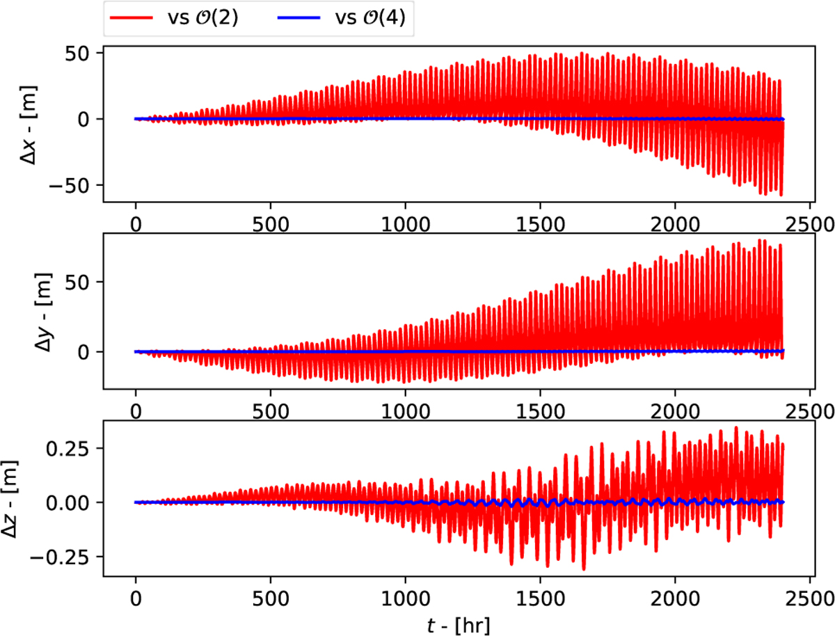
For scenario 1: the difference between between GUBAS and our method for the position of the secondary relative to the primary. The top, middle and bottom shows the difference in the x, y and z components, respectively. The red line is the difference between GUBAS second order approximation and the surface integration method, whereas the blue line shows the difference between GUBAS fourth order approximation and the surface integration method.

Current usage metrics show cumulative count of Article Views (full-text article views including HTML views, PDF and ePub downloads, according to the available data) and Abstracts Views on Vision4Press platform.

Data correspond to usage on the plateform after 2015. The current usage metrics is available 48-96 hours after online publication and is updated daily on week days.

Initial download of the metrics may take a while.