Open Access

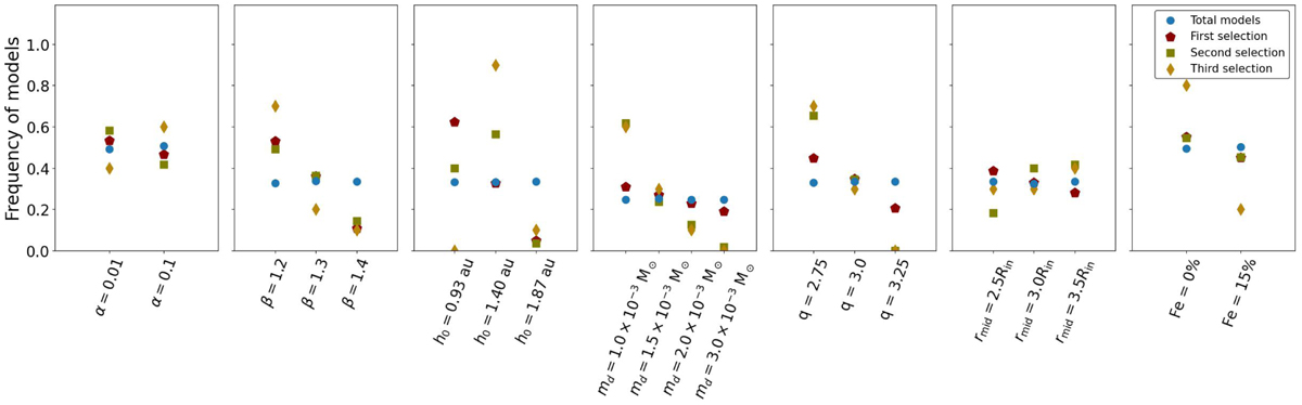
Fig. 6

image

Download original image

Distribution of the parameter space resulting from each of the three selection steps. The parameter space is defined by (from left to right) α, β, h0, md, q, rmid, and Fe. The distribution for the total number of models (1380 models) is indicated by the circles, which are equally distributed over each of the parameters. The final distribution of parameters of our family of best-fit models is indicated by the diamonds.

Current usage metrics show cumulative count of Article Views (full-text article views including HTML views, PDF and ePub downloads, according to the available data) and Abstracts Views on Vision4Press platform.

Data correspond to usage on the plateform after 2015. The current usage metrics is available 48-96 hours after online publication and is updated daily on week days.

Initial download of the metrics may take a while.