Open Access

Fig. 1

image

Download original image

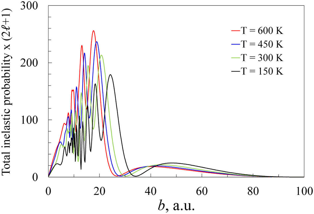
Dependence of total inelastic transition probability on the impact parameter, often known as the partial cross section, for the initial state 111000 of the H2O + H2O system. Different colors correspond to different collision energies (temperatures) as labeled in the figure.

Current usage metrics show cumulative count of Article Views (full-text article views including HTML views, PDF and ePub downloads, according to the available data) and Abstracts Views on Vision4Press platform.

Data correspond to usage on the plateform after 2015. The current usage metrics is available 48-96 hours after online publication and is updated daily on week days.

Initial download of the metrics may take a while.