Open Access

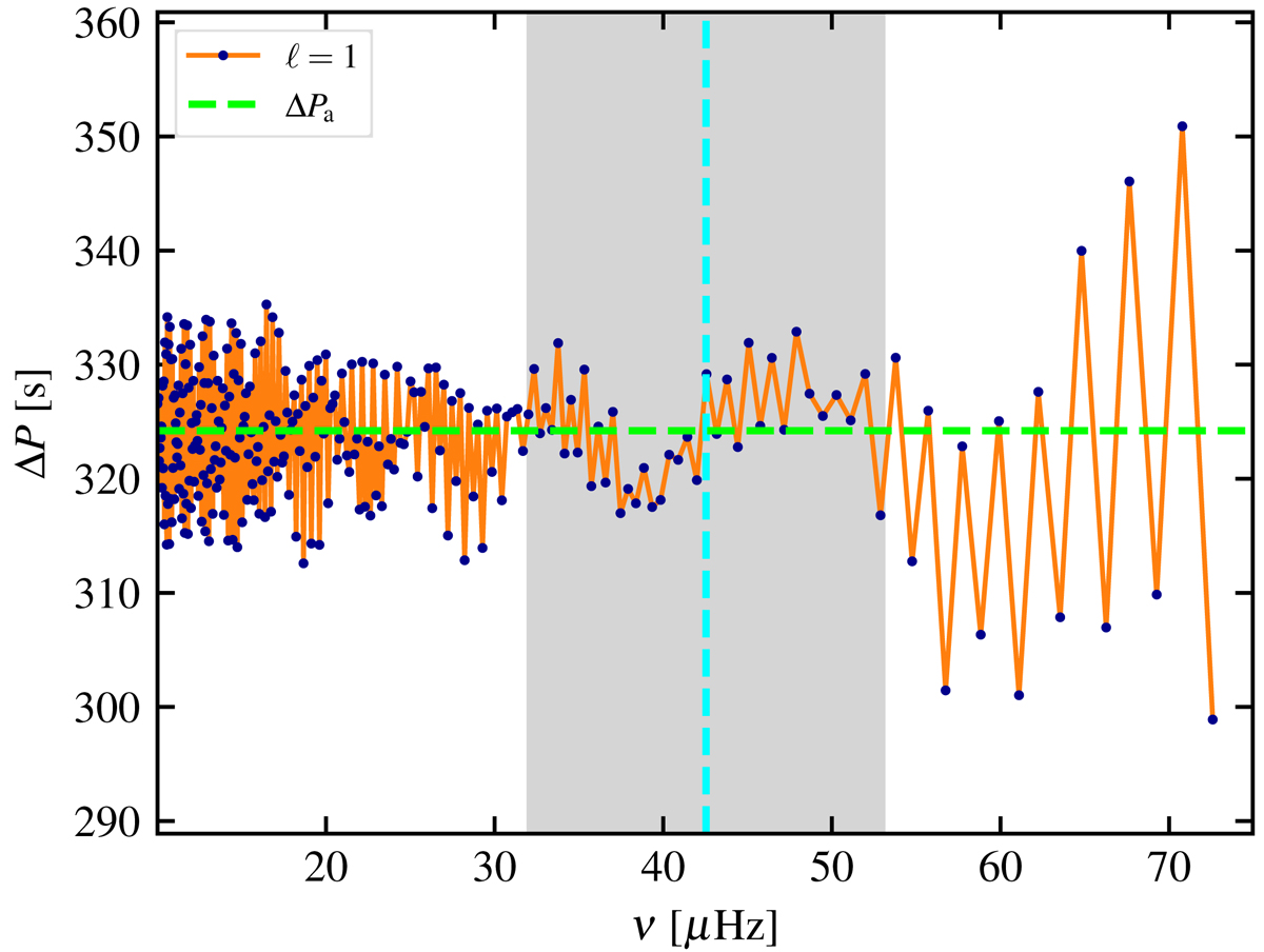
Fig. 4.

image

Download original image

Period spacing as a function of the eigenfrequencies of the isolated dipole γ modes (Ong & Basu 2020). Other symbols and colours are the same as in Fig. 3. The high modulation in the period spacing above the observable frequencies is connected to structural glitches (see e.g., Bossini et al. 2015).

Current usage metrics show cumulative count of Article Views (full-text article views including HTML views, PDF and ePub downloads, according to the available data) and Abstracts Views on Vision4Press platform.

Data correspond to usage on the plateform after 2015. The current usage metrics is available 48-96 hours after online publication and is updated daily on week days.

Initial download of the metrics may take a while.