Open Access

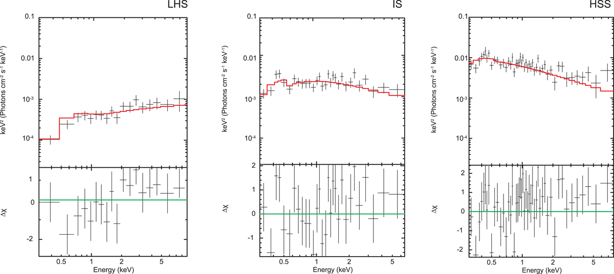
Fig. 4.

image

Download original image

Three representative spectra of OJ 287 from Swift data with the best-fit modeling for the LHS (ID = 00035011001), IS (ID = 00088085001), and HSS (ID = 00034934051) states in units of E * F(E) using the tbabs*bmc model. The data are denoted by black crosses, while the spectral model is shown by a red histogram.

Current usage metrics show cumulative count of Article Views (full-text article views including HTML views, PDF and ePub downloads, according to the available data) and Abstracts Views on Vision4Press platform.

Data correspond to usage on the plateform after 2015. The current usage metrics is available 48-96 hours after online publication and is updated daily on week days.

Initial download of the metrics may take a while.