Open Access

Fig. 3.

image

Download original image

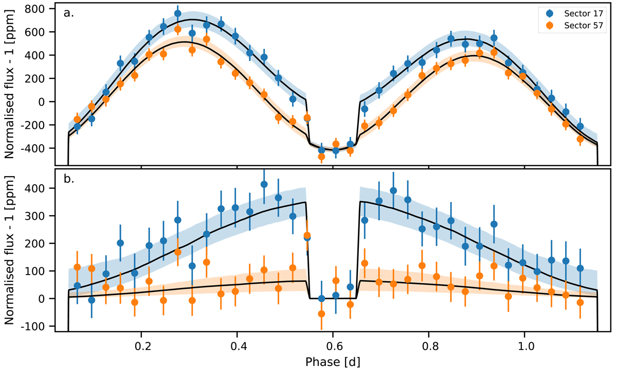
Folded TESS photometry from Sectors 17 and 57 centred around the eclipse and binned over 43 min (panel a), and with the stellar ellipsoidal variation and Doppler beaming signals removed to show only the phase curve signal from KELT-1b (panel b).

Current usage metrics show cumulative count of Article Views (full-text article views including HTML views, PDF and ePub downloads, according to the available data) and Abstracts Views on Vision4Press platform.

Data correspond to usage on the plateform after 2015. The current usage metrics is available 48-96 hours after online publication and is updated daily on week days.

Initial download of the metrics may take a while.