Open Access

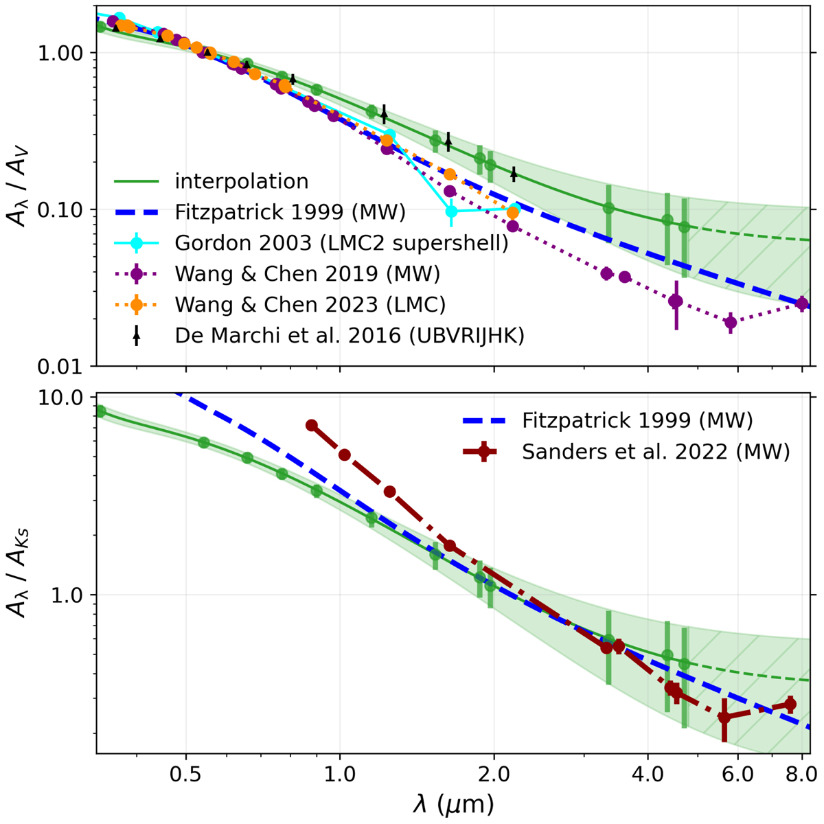
Fig. 5.

image

Download original image

Comparison of relative extinction with literature results. Top: extinction relative to AV assuming RF090W − F200W(AV) = 2.53 in green. Results for the MW in blue dashed (Fitzpatrick 1999) and purple (Wang & Chen 2019). Results for the LMC in cyan (Gordon et al. 2003) and orange (Wang & Chen 2023). Black show the UBVRIHJK values from De Marchi et al. (2016). Bottom: relative to AKs assuming RF090W − F200W(AV) = 0.45. Results from Sanders et al. (2022) for the MW in dark red, and from Fitzpatrick (1999) in blue.

Current usage metrics show cumulative count of Article Views (full-text article views including HTML views, PDF and ePub downloads, according to the available data) and Abstracts Views on Vision4Press platform.

Data correspond to usage on the plateform after 2015. The current usage metrics is available 48-96 hours after online publication and is updated daily on week days.

Initial download of the metrics may take a while.