Open Access

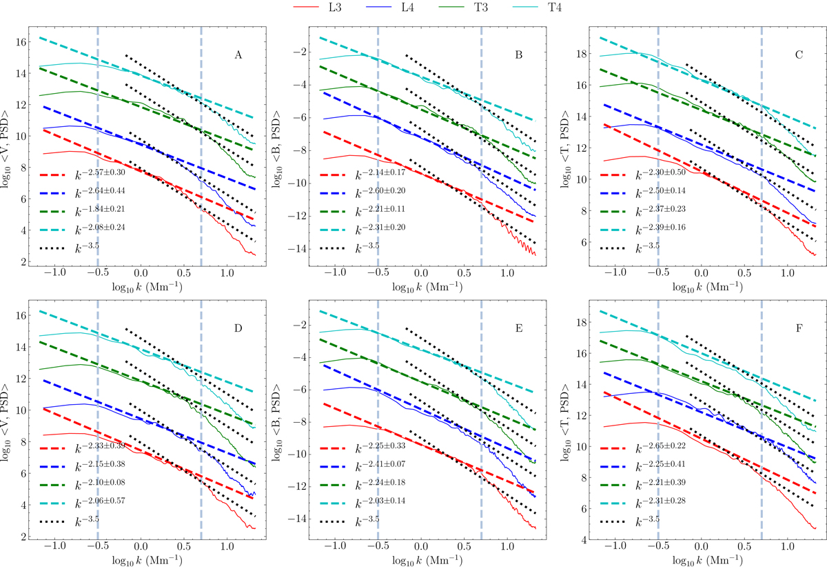
Fig. 13.

image

Download original image

PSD in the wavenumber domain for the longitudinal strips (L3, L4) and transverse strips (T3, T4) plotted for two ensemble averages of time before the collision of the material with the upper chromosphere boundary, representing a more RT instability turbulence (top), and after this collision led to more fully developed turbulence (bottom). All the PSDs are shifted on the y-axis for clarity. The dashed colored lines show fits of scalings done for a particular field in one direction between 0.32 and 3.2 Mm−1, as marked by the vertical dashed lines in all panels. There is a secondary steeper scaling of −3.5 at larger wavenumbers, as marked by the dotted black lines.

Current usage metrics show cumulative count of Article Views (full-text article views including HTML views, PDF and ePub downloads, according to the available data) and Abstracts Views on Vision4Press platform.

Data correspond to usage on the plateform after 2015. The current usage metrics is available 48-96 hours after online publication and is updated daily on week days.

Initial download of the metrics may take a while.