Open Access

Fig. B.2

image

Download original image

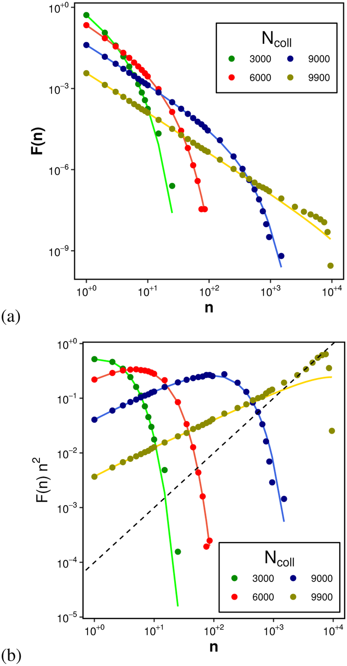
Coagulation test with a linear kernel for (a) F(n) and (b) F(n)n2. Color lines show the analytic solution (Eq. (B.2)), and the dashed line with slope 1 is to guide the eye.

Current usage metrics show cumulative count of Article Views (full-text article views including HTML views, PDF and ePub downloads, according to the available data) and Abstracts Views on Vision4Press platform.

Data correspond to usage on the plateform after 2015. The current usage metrics is available 48-96 hours after online publication and is updated daily on week days.

Initial download of the metrics may take a while.