Open Access

Fig. 11

image

Download original image

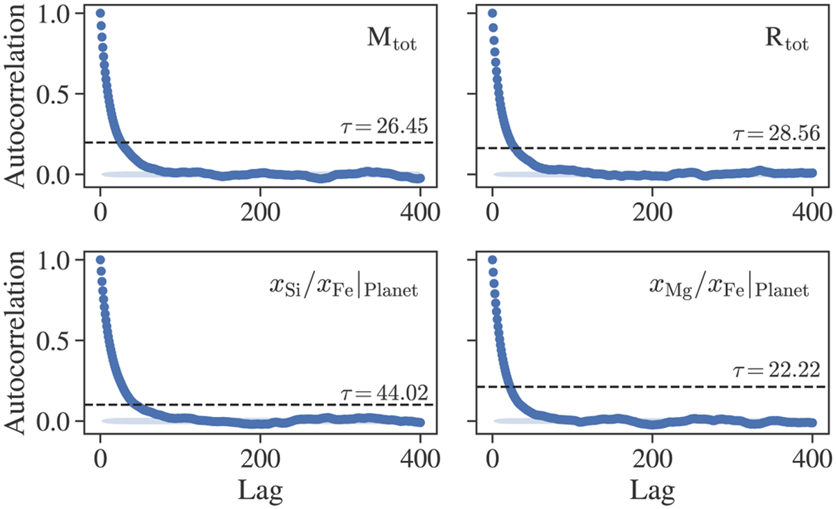
Autocorrelation as a function of lag calculated from the Markov chain of the four output parameters of the forward model. The autocorrelation time τ of each parameter was calculated following Hogg & Foreman-Mackey (2018). The dashed lines indicate the autocorrelation when the lag is equal to the autocorrelation time.

Current usage metrics show cumulative count of Article Views (full-text article views including HTML views, PDF and ePub downloads, according to the available data) and Abstracts Views on Vision4Press platform.

Data correspond to usage on the plateform after 2015. The current usage metrics is available 48-96 hours after online publication and is updated daily on week days.

Initial download of the metrics may take a while.