Open Access

Fig. 1

image

Download original image

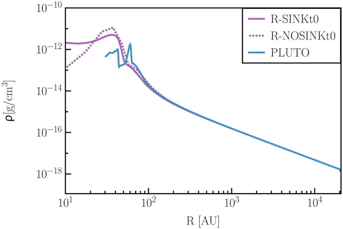
Radial profile of the density in the (x–y)-plane at t≈2.5 kyr in the R–SINKt0 (purple line), R–NOSINKt0 (purple, dotted line), and PLUTO (blue line). At this stage, initial axisymmetry is maintained. Towards the center, the density settles in a plateau, forming a disk structure with an additional density bump in R–SINKt0 and PLUTO, while it continuously decreases in R–NOSINKt0 and forms a ring around 30 AU.

Current usage metrics show cumulative count of Article Views (full-text article views including HTML views, PDF and ePub downloads, according to the available data) and Abstracts Views on Vision4Press platform.

Data correspond to usage on the plateform after 2015. The current usage metrics is available 48-96 hours after online publication and is updated daily on week days.

Initial download of the metrics may take a while.