Open Access

Fig. 4

image

Download original image

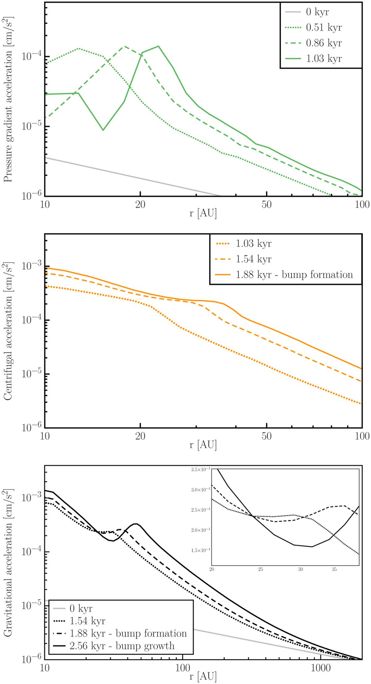
Radial (cylindrical) acceleration due to thermal pressure gradient (top panel), centrifugal acceleration (middle panel), and gravitational acceleration (bottom panel) at distinct epochs to study the density bump formation, which is responsible for the first fragmentation. Only the radial gravitational acceleration is directed inward. In the zoom-in view of the bottom panel, it can be seen that the inward gravitational acceleration weakens around 30 AU at t2 kyr, so that gas accumulates into a bump.

Current usage metrics show cumulative count of Article Views (full-text article views including HTML views, PDF and ePub downloads, according to the available data) and Abstracts Views on Vision4Press platform.

Data correspond to usage on the plateform after 2015. The current usage metrics is available 48-96 hours after online publication and is updated daily on week days.

Initial download of the metrics may take a while.