Open Access

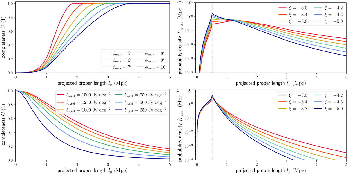
Fig. 5.

image

Download original image

Completeness functions (left column) and PDFs of observed projected proper lengths Lp, obs (right column). Selection effects leave imprints on the distribution of radio galaxies’ Lp, obs. In the top row, we show how imposing an angular length threshold in a GRG search campaign leads to incompleteness (left), which causes the PDF fLp, obs(right) to differ from fLp. We assume RGs with angular length ϕ < ϕmin have probability 0 to be included in a sample, whilst RGs with angular length ϕ > ϕmax have probability 1. The inclusion probability is assumed to increase linearly between ϕmin and ϕmax. In the left panel, we fix ϕmin = 3′ and vary ϕmax; in the right panel, we also fix ϕmax = 7′. In the bottom row, we show how a survey’s surface brightness limitations lead to incompleteness (left), which causes the PDF fLp, obs(right) to differ from fLp. We assume that lobe surface brightnesses are lognormally distributed; we parametrise the distribution for RGs of intrinsic length lref = 0.7 Mpc at z = 0 observed at νobs = 144 MHz with a median bν, ref and dispersion parameter σref. In the left panel, we fix σref = 1.5 and vary bν, ref; in the right panel, we also fix bν, ref = 1000 Jy deg−2. We assume a lobe spectral index α = −1, a surface brightness detection threshold bν, th = 25 Jy deg−2, and self-similar growth: ζ = −2. For both selection effects, we consider RGs up to cosmological redshift zmax = 0.5 only.

Current usage metrics show cumulative count of Article Views (full-text article views including HTML views, PDF and ePub downloads, according to the available data) and Abstracts Views on Vision4Press platform.

Data correspond to usage on the plateform after 2015. The current usage metrics is available 48-96 hours after online publication and is updated daily on week days.

Initial download of the metrics may take a while.