Open Access

Fig. 7.

image

Download original image

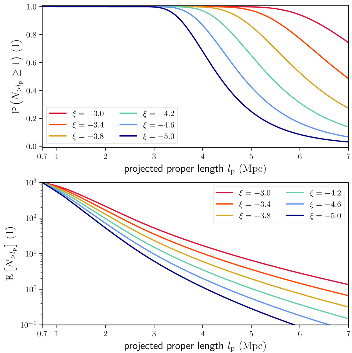
Predictions of the existence and expected number of giants that exceed projected length lp in a sample of cardinality N, as functions of lp. Both tail index ξ and selection effect parameters affect these predictions. We consider a sample of N = 1000 giants with redshifts below zmax = 0.5, use ϕmin = 3′, ϕmax = 7′, bν, ref = 1000 Jy deg−2, and σref = 1.5, and keep other parameters as in Fig. 5. Top: the probability that at least one observed giant has a projected length of at least lp. Bottom: the expected number of observed giants with a projected length of at least lp.

Current usage metrics show cumulative count of Article Views (full-text article views including HTML views, PDF and ePub downloads, according to the available data) and Abstracts Views on Vision4Press platform.

Data correspond to usage on the plateform after 2015. The current usage metrics is available 48-96 hours after online publication and is updated daily on week days.

Initial download of the metrics may take a while.