Open Access

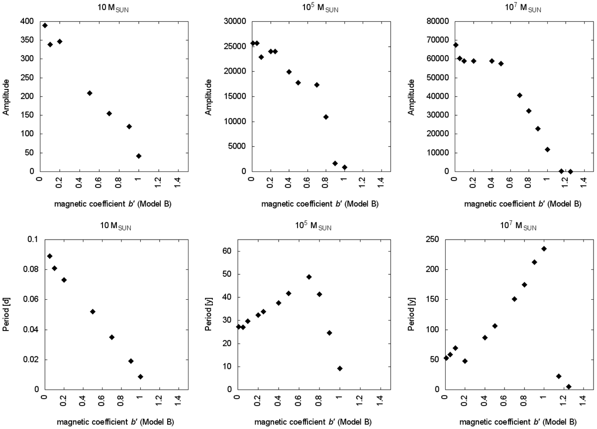
Fig. 15.

image

Download original image

Dependence on the amplitude of the outburst (top panel) and the duration of the limit cycle (lower panel) of the accretion disk and magnetic coefficient b′ for black hole masses of 10 M (left panel), 105M (middle panel), and 107M (right panel).

Current usage metrics show cumulative count of Article Views (full-text article views including HTML views, PDF and ePub downloads, according to the available data) and Abstracts Views on Vision4Press platform.

Data correspond to usage on the plateform after 2015. The current usage metrics is available 48-96 hours after online publication and is updated daily on week days.

Initial download of the metrics may take a while.