Open Access

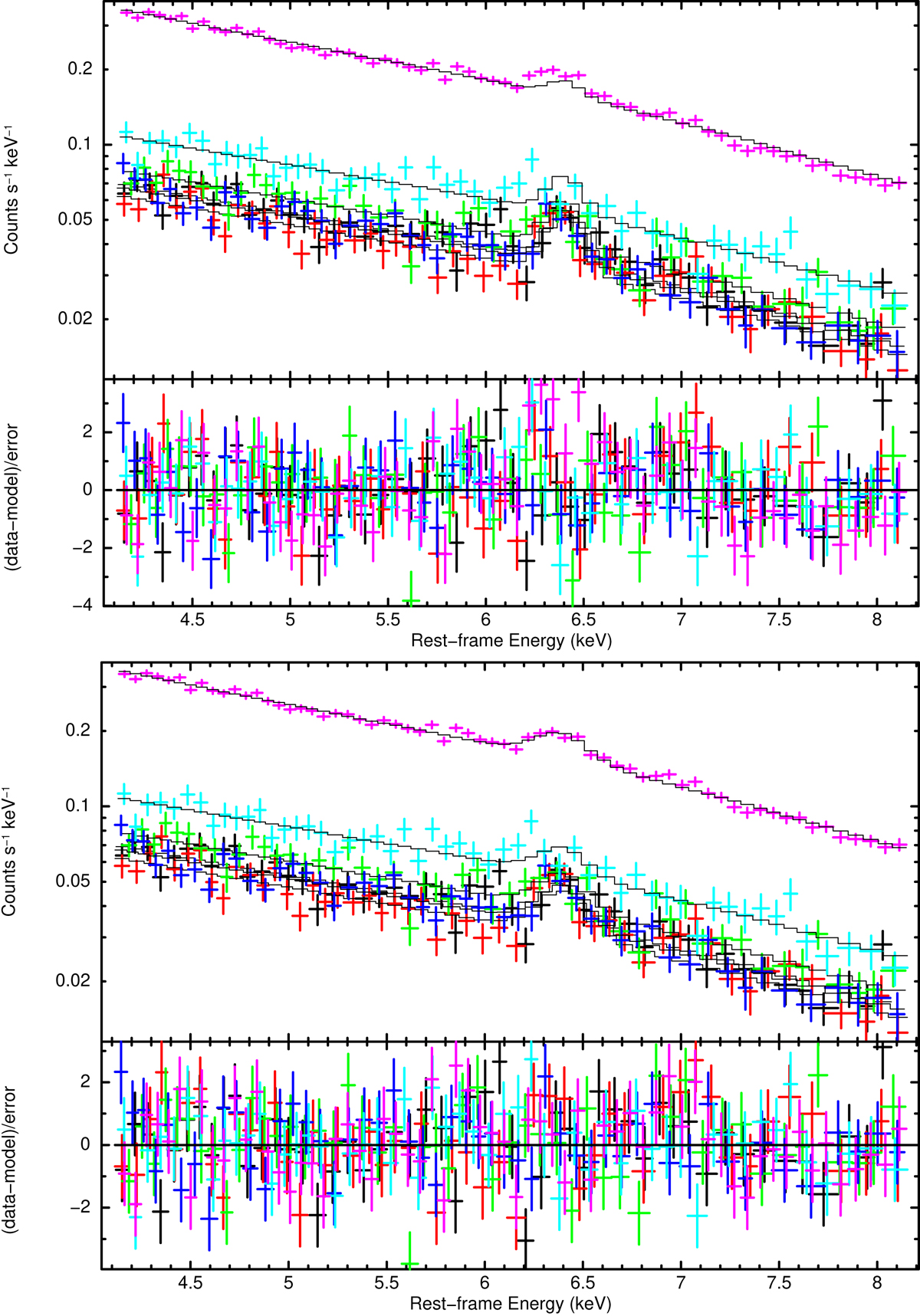
Fig. 5.

image

Download original image

Zoom of the Fe Kα complex. Top panels: EPIC-pn data in the 4–8 keV energy band fitted using a power-law and a narrow Gaussian emission line assumed to be constant among the exposures. Residuals in the Fe K energy range are present. Bottom panels: Same as above but with the addition of a broad Fe Kα emission line for which the line normalisation was assumed to be constant among the 2019 pointings but free to vary in 2007.

Current usage metrics show cumulative count of Article Views (full-text article views including HTML views, PDF and ePub downloads, according to the available data) and Abstracts Views on Vision4Press platform.

Data correspond to usage on the plateform after 2015. The current usage metrics is available 48-96 hours after online publication and is updated daily on week days.

Initial download of the metrics may take a while.