Open Access

Fig. 4

image

Download original image

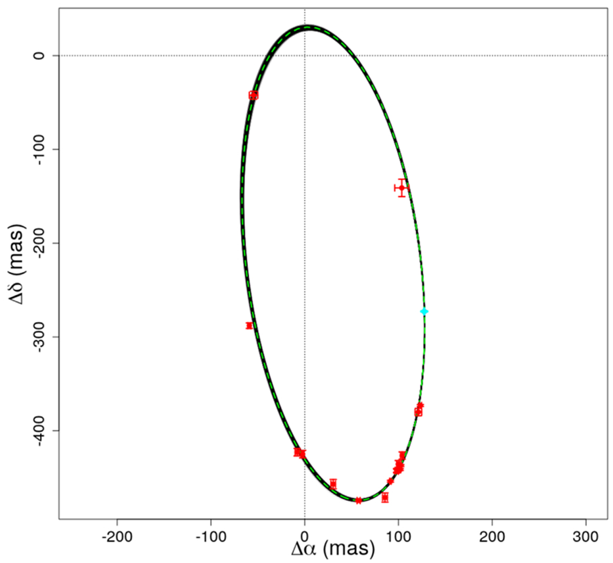
Orbits from the MCMC algorithm in black and of the best solution from TMB in green dotted line for GJ2060 (values in Table 2). The direct imaging observations with their associated error bars are in red and the new GRAVITY point with its error bars is in light blue.

Current usage metrics show cumulative count of Article Views (full-text article views including HTML views, PDF and ePub downloads, according to the available data) and Abstracts Views on Vision4Press platform.

Data correspond to usage on the plateform after 2015. The current usage metrics is available 48-96 hours after online publication and is updated daily on week days.

Initial download of the metrics may take a while.