Open Access

Fig. 15

image

Download original image

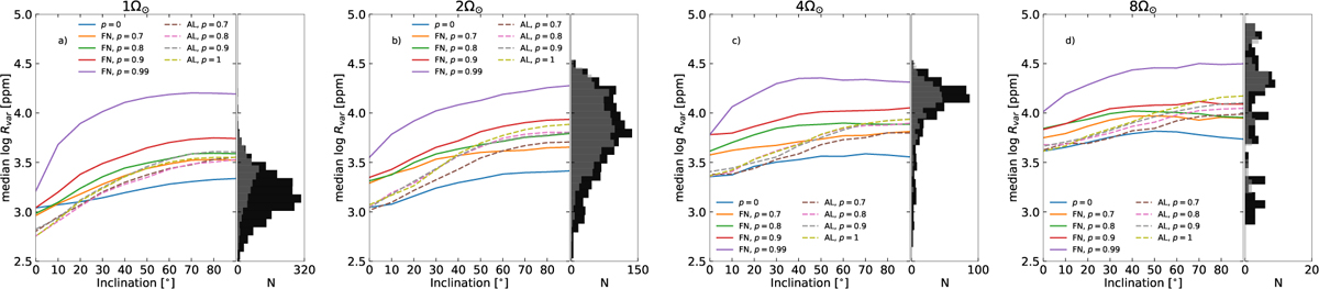
Dependence of Rvar on the inclination. Each panel represents different realisations of the BMR emergence for a given rotation rate. The grey histograms are drawn from the McQ14 stars and the black histograms from the S21 stars, with the limitations of [23/X, 27/X] days for a given rotation rate X in units of the solar rotation (i.e. for X=2, meaning stars with 2Ω, the stars have rotation periods between [11.5,13.5] days).

Current usage metrics show cumulative count of Article Views (full-text article views including HTML views, PDF and ePub downloads, according to the available data) and Abstracts Views on Vision4Press platform.

Data correspond to usage on the plateform after 2015. The current usage metrics is available 48-96 hours after online publication and is updated daily on week days.

Initial download of the metrics may take a while.