Open Access

Fig. 7

image

Download original image

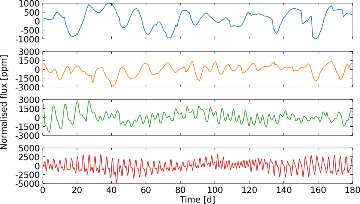
Synthetic LCs for stars with different rotation rates as they would be observed in the Kepler passband at an inclination of i = 90°. We show non-nested cases (p = 0) with rotation rate values of 1Ω (blue), 2Ω (orange), 4Ω (green), and 8Ω (red).

Current usage metrics show cumulative count of Article Views (full-text article views including HTML views, PDF and ePub downloads, according to the available data) and Abstracts Views on Vision4Press platform.

Data correspond to usage on the plateform after 2015. The current usage metrics is available 48-96 hours after online publication and is updated daily on week days.

Initial download of the metrics may take a while.