Open Access

Fig. 7

image

Download original image

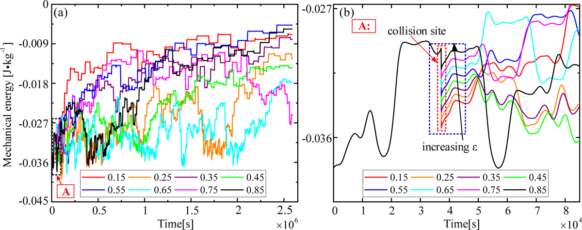
Change in the mechanical energy of particles with different coefficients of restitution versus time. Panels (a) and (b) correspond to the global change and the local change, respectively. The local change refers to the enlarged view of the part surrounded by the black dash-lined box in panel (a). The red dash-lined box marks the collision site, and the blue dash-lined box marks the range of time that coefficients of restitution keep monotonicity versus mechanical energy. The mechanical energy for different ε is presented with different colors as indicated by the legend.

Current usage metrics show cumulative count of Article Views (full-text article views including HTML views, PDF and ePub downloads, according to the available data) and Abstracts Views on Vision4Press platform.

Data correspond to usage on the plateform after 2015. The current usage metrics is available 48-96 hours after online publication and is updated daily on week days.

Initial download of the metrics may take a while.