Open Access

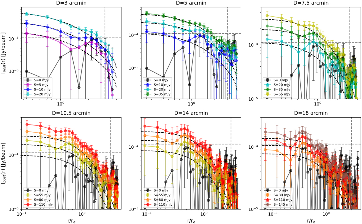
Fig. 7

image

Download original image

Azimuthally averaged profiles of images shown in Appendix A for PSZ2 G098.62+51.76. The dashed black lines represent the theoretical injected profiles. The sampled pre-injection and post-injection profiles are shown with black and coloured dots (see the total injected flux density in the legend), respectively. The grey vertical line indicates r = 3re. The grey horizontal line indicates the global 1σ noise level.

Current usage metrics show cumulative count of Article Views (full-text article views including HTML views, PDF and ePub downloads, according to the available data) and Abstracts Views on Vision4Press platform.

Data correspond to usage on the plateform after 2015. The current usage metrics is available 48-96 hours after online publication and is updated daily on week days.

Initial download of the metrics may take a while.