Open Access

Fig. 6

image

Download original image

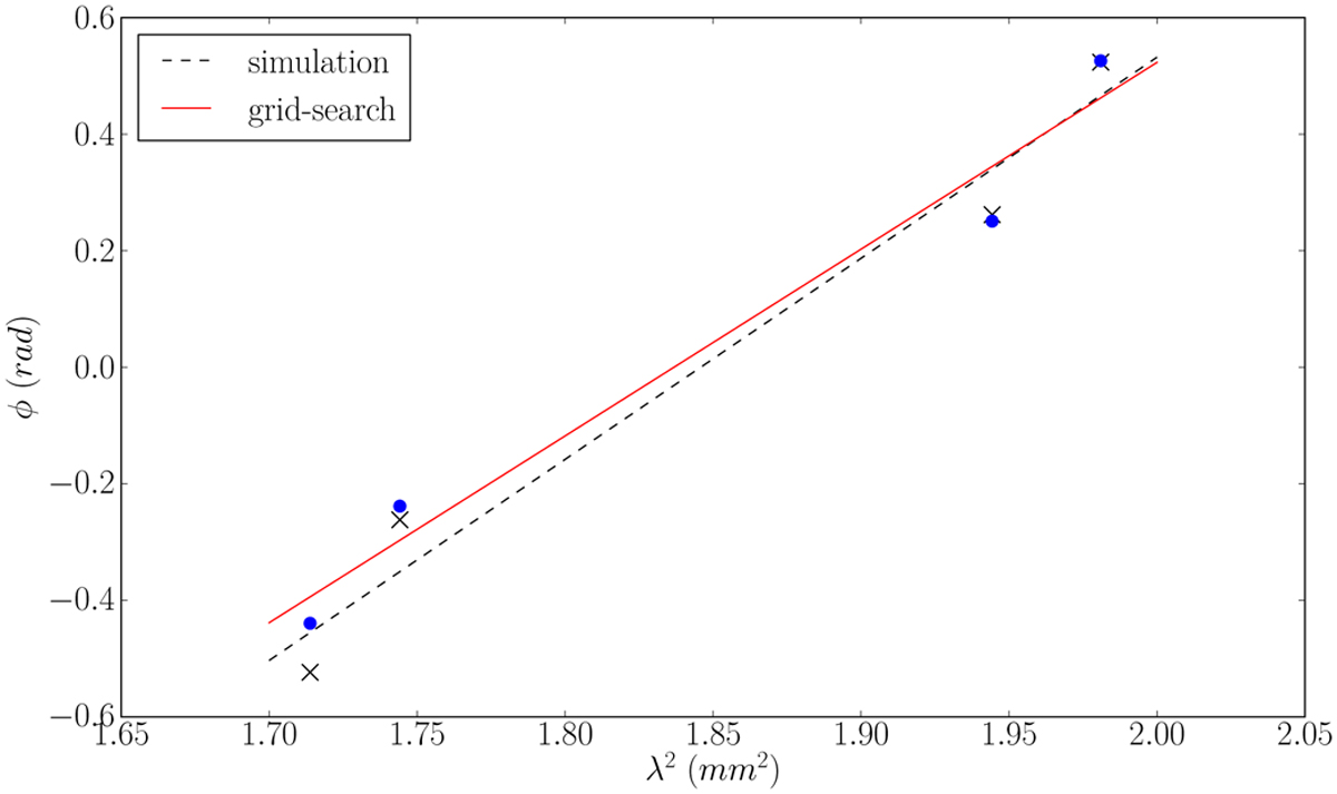
Linear fitting of the polarization angle of the core, ϕ = ϕ0 + RMλ2, as a function of the observation wavelength squared, λ2. The ϕ values are determined from the grid-search exploration of the χ2 parametric space, by fitting the closure-trace model to the simulated data, with the polarization of knots A and B fixed to their values at spw0 (see Sect. 2.1). We obtain a fitted value of RM = (0.32 ± 0.04) × 107 rad m−2, compatible with the expected value of (0.35 ± 0.04) × 107 rad m−2 obtained from fitting the simulated polarization angles.

Current usage metrics show cumulative count of Article Views (full-text article views including HTML views, PDF and ePub downloads, according to the available data) and Abstracts Views on Vision4Press platform.

Data correspond to usage on the plateform after 2015. The current usage metrics is available 48-96 hours after online publication and is updated daily on week days.

Initial download of the metrics may take a while.