Open Access

Fig. 10.

image

Download original image

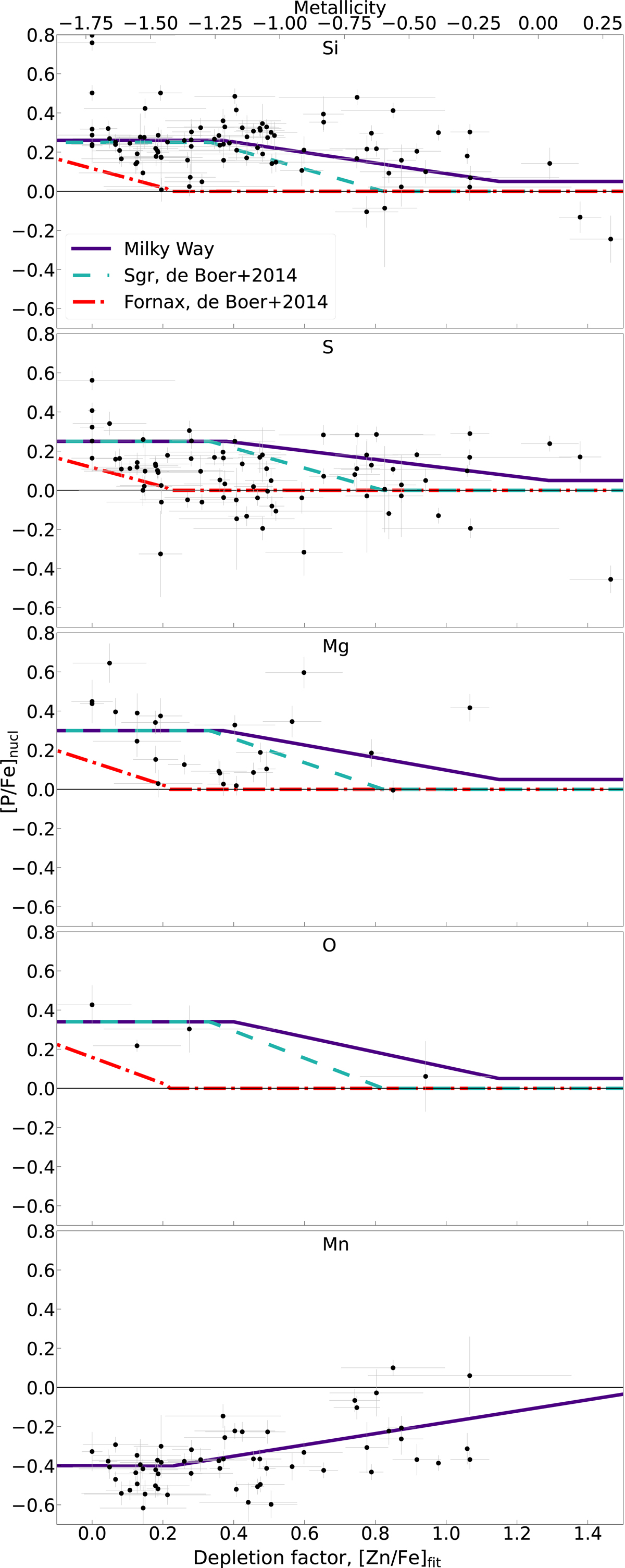
[X/Fe]nucl plotted against the depletion factor. Here, we excluded the α-elements and Mn from the depletion pattern fitting to reduce potential nucleosynthesis bias. The assumed nucleosynthetic under- and over-abundance in units of the depletion factor [Zn/Fe]fit from Fig. 7 of De Cia et al. (2016) is shown in the solid purple line. We also include nucleosynthesis over-abundances for local dwarf galaxies, Fornax, and Sgr from de Boer et al. (2014). Here we only include points for which the absolute value of the error on [X/Fe]nucl is less than 0.5.

Current usage metrics show cumulative count of Article Views (full-text article views including HTML views, PDF and ePub downloads, according to the available data) and Abstracts Views on Vision4Press platform.

Data correspond to usage on the plateform after 2015. The current usage metrics is available 48-96 hours after online publication and is updated daily on week days.

Initial download of the metrics may take a while.