Open Access

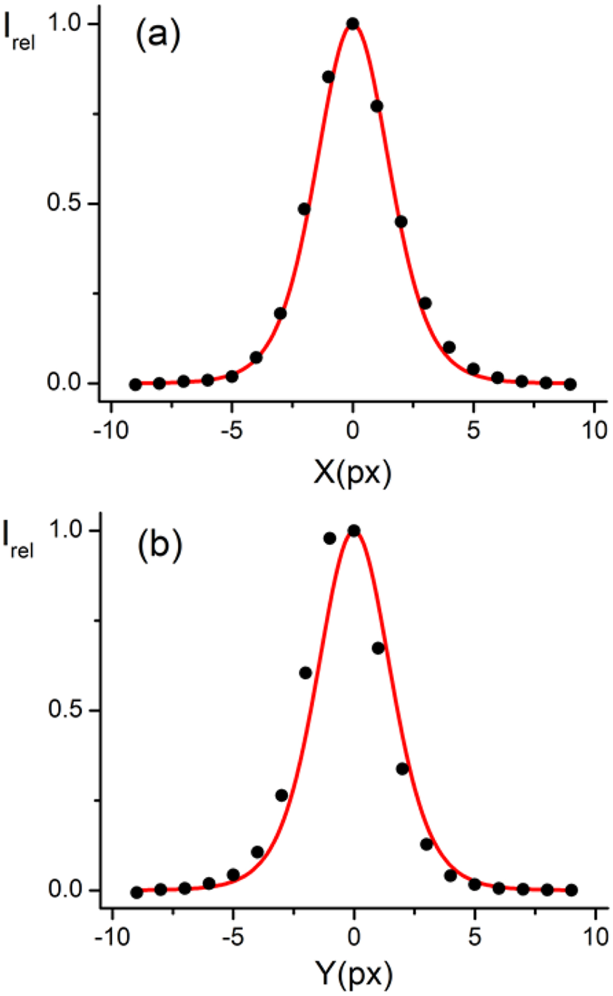
Fig. A.1

image

Download original image

Comparison of the profiles of the model (solid line) and measured image of the same star (dots) along the X (plot a) and Y (plot b) axes. The profiles are normalized to the maximum value of 1. The profile of the star depends on the center position of the star within one pixel. On the X-axis, the center of the star image coincides with the middle of the pixel, whereas it is slightly shifted on the Y-axis.

Current usage metrics show cumulative count of Article Views (full-text article views including HTML views, PDF and ePub downloads, according to the available data) and Abstracts Views on Vision4Press platform.

Data correspond to usage on the plateform after 2015. The current usage metrics is available 48-96 hours after online publication and is updated daily on week days.

Initial download of the metrics may take a while.