Open Access

Fig. 7

image

Download original image

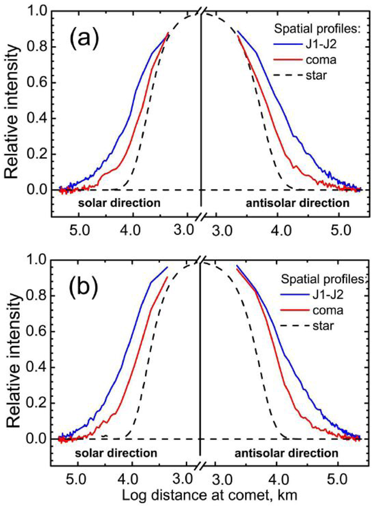
Comparison of the normalized profiles of the surface brightness of comet C/2014 B1 (Schwartz) with the averaged brightness profile of field stars (black dashed line) measured in the g-sdss (a) and r-sdss (b) images on 2017 January 23. The observed profiles were measured through the central pixel with maximum intensity and the coma perpendicular to the J1-J2 direction: PA = 89° for the solar direction and PA = 269° for the anti-solar direction (red solid line) and along both jets in the directions PA(J1)= 179° and PA(J2) = 350° (blue solid line).

Current usage metrics show cumulative count of Article Views (full-text article views including HTML views, PDF and ePub downloads, according to the available data) and Abstracts Views on Vision4Press platform.

Data correspond to usage on the plateform after 2015. The current usage metrics is available 48-96 hours after online publication and is updated daily on week days.

Initial download of the metrics may take a while.