Open Access

Fig. 1.

image

Download original image

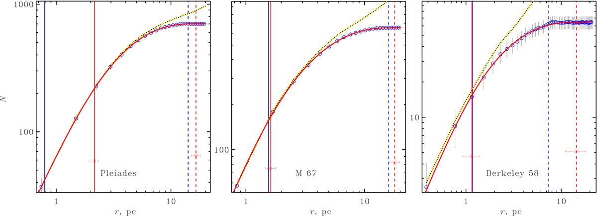
Fit of King curves to observed density profiles of open clusters residing at different heliocentric distances: small (Pleiades), medium (M67), and large (Berkley 58), shown from left to right. The curves represent the observed distribution of safe cluster members (dots), the one corrected for the residual background (circles with Poisson error bars), and the fitted King profile (solid red curve). Vertical lines indicate core radii (rc, solid) and tidal radii (rt, dashed). Blue lines indicate visual estimates, made earlier in MWSC, red ones are the current values of rc and rt derived from the profile fit. Horizontal bars indicate fit errors.

Current usage metrics show cumulative count of Article Views (full-text article views including HTML views, PDF and ePub downloads, according to the available data) and Abstracts Views on Vision4Press platform.

Data correspond to usage on the plateform after 2015. The current usage metrics is available 48-96 hours after online publication and is updated daily on week days.

Initial download of the metrics may take a while.