Open Access

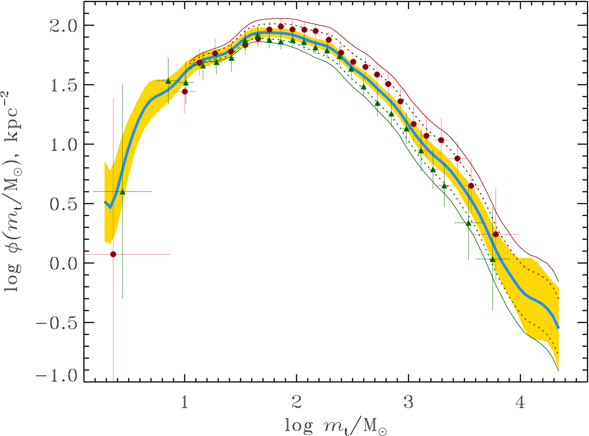
Fig. 10.

image

Download original image

CMFs of star clusters for two ranges of Galactocentric radii, as presented in Table 4: red dots are for the inner sub-sample and green triangles are for the outer sub-sample. The vertical bars are statistical errors characterising a bin population and the horizontal bars indicate the bin widths. The bold blue line is the smoothed GCMF derived in Sect. 5.2 and the yellow background highlight represents its statistical errors. Thin red and green solid and dotted lines represent GCMFs of the inner and outer sub-samples after applying the bias due to the exponential decline of the Galactic disc surface density with a scale length of 3.8 and 6 kpc, respectively.

Current usage metrics show cumulative count of Article Views (full-text article views including HTML views, PDF and ePub downloads, according to the available data) and Abstracts Views on Vision4Press platform.

Data correspond to usage on the plateform after 2015. The current usage metrics is available 48-96 hours after online publication and is updated daily on week days.

Initial download of the metrics may take a while.