Open Access

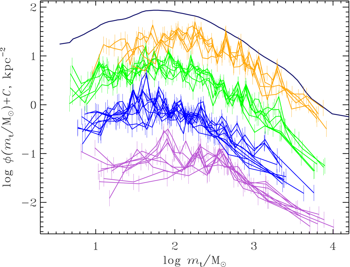
Fig. 8.

image

Download original image

Comparison of selected CMF age groups built as described in the text. The groups are marked with different colours and are artificially shifted vertically to reduce the overlap. From bottom up, we show the initial-age (violet), young (blue), medium-age (green), and old (orange) cluster groups. The uppermost dark curve is the GCMF (including all ages) constructed in Sect. 5.2. The groups and their age limits are presented in Table 2.

Current usage metrics show cumulative count of Article Views (full-text article views including HTML views, PDF and ePub downloads, according to the available data) and Abstracts Views on Vision4Press platform.

Data correspond to usage on the plateform after 2015. The current usage metrics is available 48-96 hours after online publication and is updated daily on week days.

Initial download of the metrics may take a while.