Open Access

Fig. A.2.

image

Download original image

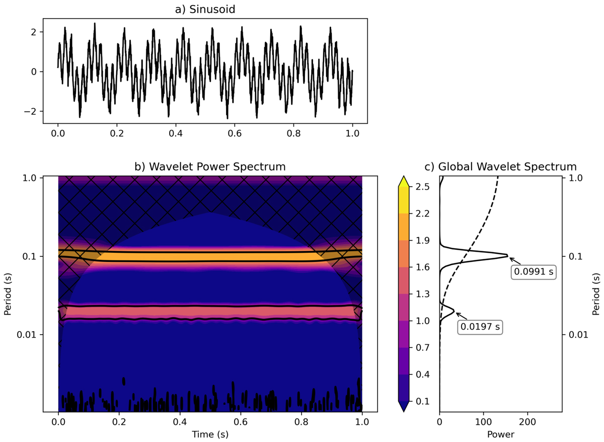
CWT map for a periodic function. Each panel represents: a) periodic function with two periods p1 = 0.02 s and p2 = 0.10 s, b) corresponding wavelet power spectrum map obtained using PyCWTand c) global power spectrum shown as the solid line, with a significance level at 95%, provided by PyCWT as a dashed line. The dashed areas in b) indicate the COI.

Current usage metrics show cumulative count of Article Views (full-text article views including HTML views, PDF and ePub downloads, according to the available data) and Abstracts Views on Vision4Press platform.

Data correspond to usage on the plateform after 2015. The current usage metrics is available 48-96 hours after online publication and is updated daily on week days.

Initial download of the metrics may take a while.