Open Access

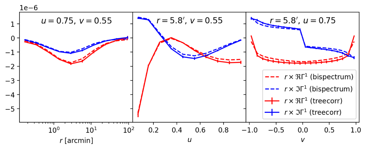
Fig. 6.

image

Download original image

Three-point correlation function Γ(1) as a function of its three parameters r (left), u (middle) and v (right). We note that the jump in the imaginary part of Γ(1) around v = 0 is due to the fact that Γ(i)(r, u, v) = Γ(i)*(r, u, −v) holds.

Current usage metrics show cumulative count of Article Views (full-text article views including HTML views, PDF and ePub downloads, according to the available data) and Abstracts Views on Vision4Press platform.

Data correspond to usage on the plateform after 2015. The current usage metrics is available 48-96 hours after online publication and is updated daily on week days.

Initial download of the metrics may take a while.