Open Access

Fig. 6.

image

Download original image

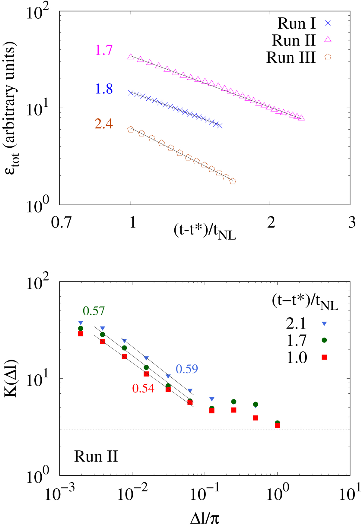
Turbulence parameters estimated for the three runs of the numerical simulation. Top panel: energy dissipation rate, εtot (arbitrary units), versus the rescaled simulation time, (t − t*)/tNL, for the three simulation runs. Bottom panel: magnetic field kurtosis, K, versus the spatial increment Δl, averaged over the field components, shown here for run II at three different times (see legend). For all plots, power-law fits and the relative fitted exponents are indicated (fitting errors ≤0.01).

Current usage metrics show cumulative count of Article Views (full-text article views including HTML views, PDF and ePub downloads, according to the available data) and Abstracts Views on Vision4Press platform.

Data correspond to usage on the plateform after 2015. The current usage metrics is available 48-96 hours after online publication and is updated daily on week days.

Initial download of the metrics may take a while.